fork Lecture 09  `using`rpar

Lecture plan

  • Concurrency with Haskell lightweight threads
  • Synchronization between threads
  • Exceptions revisited
  • Async
  • STM (Software Transaction Memory)
  • Parallelism with Sparks
  • Inspecting your concurrency (ThreadScope)

Fork a thread

forkIO :: IO () -> IO ThreadId  -- creates lightweight thread
import Control.Concurrent

main = do
  _threadId <- forkIO $ do
    threadDelay 1000000
    putStrLn "Forked thread awake"
  threadDelay 2000000
  putStrLn "Main thread finishes"
$ ghc -threaded -o test Test.hs
$ ./test +RTS -N2

Forked thread awake
Main thread finishes

By default threads are off, but you still can run the code above.

$ ghc -o test Test.hs && ./test

Forked thread awake
Main thread finishes
data MVar a  -- empty or full box

newEmptyMVar :: IO (MVar a)           -- create empty box
putMVar      :: MVar a -> a -> IO ()  -- fill box with value
takeMVar     :: MVar a -> IO a        -- take var with block
import Control.Concurrent

main = do
  tm1 <- newEmptyMVar
  tm2 <- newEmptyMVar
  _threadId1 <- forkIO $ do
    threadDelay 1000000
    putMVar tm1 100500
  _threadId2 <- forkIO $ do
    threadDelay 1000000
    putMVar tm2 "This is horosho"

  r1 <- takeMVar tm1
  r2 <- takeMVar tm2

  putStrLn $ "r1: " <> show r1 <> ", r2: " <> show r2

Where is my join?

More about MVar

MVar is basically a value guarded by mutex lock.

-- MVTest.hs

main = do
    m <- newEmptyMVar
    takeMVar m
-- throws BlockedIndefinitelyOnMVar exception
MVTest: thread blocked indefinitely in an MVar operation
-- all exceptions
BlockedIndefinitelyOnMVar
BlockedIndefinitelyOnSTM
NonTermination
Deadlock

And runtime system is able to detect some deadlock cases.

What to do thread id?

Stop (interrupt) a thread :)

throwTo :: Exception e => ThreadId -> e -> IO ()

killThread :: ThreadId -> IO ()
killThread tid = throwTo tid ThreadKilled
main =
  handle intrHandler $
  flip mapM_ [1..1000] $ \i -> do
    threadDelay 1000000
    putStrLn $ "Finished round " <> show i

intrHandler :: AsyncException -> IO ()
intrHandler UserInterrupt = putStrLn "Finishing due to user interrupt ..."
intrHandler e = putStrLn $ "Caught async exception: " <> show e

How to handle ^C from user? It's an than exception to main thread ;)

main = do
  tid <- forkIO myHeavyComputation
  threadDelay 1000000 -- 1 sec timeout for completion
  killThread tid

Exceptions classification

Synchronous exceptions

throwIO :: Exception e => e -> IO a
throw :: Exception e => e -> a
instance  Integral Int where
  a `div` b
     | b == 0 = throw DivideByZero
     | otherwise = ...
foreign import ccall safe "HsBase.h __hscore_open"
   c_safe_open :: CFilePath -> CInt -> CMode -> IO CInt

openFile file flags mode = do
  res <- c_safe_open file flags mode
  when (res == -1) $ do
    errno <- getErrNo
    throwIO (toIOError errno file)

Asynchronous exceptions

throwTo :: Exception e => ThreadId -> e -> IO ()

Handle exception

Exception handling is uniform

catch :: Exception e => IO a -> (e -> IO a) -> IO a

handle :: Exception e => (e -> IO a) -> IO a -> IO a
handle = flip catch
data MyException = MyException   deriving Show
instance Exception MyException

main = do
  throwIO MyException
    `catch` \MyException -> putStrLn "Caught my IO exception"
  when (1 `div` 0 > 0) (putStrLn "not to happen")
    `catch` \e -> putStrLn $ "Caught " <> show (e :: ArithException)
  tid <- forkIO $
    (threadDelay 1000000 >> putStrLn "Done")
      `catch` \MyException -> putStrLn "Caught my async exception"
  threadDelay 500000
  throwTo tid MyException
Caught my IO exception
Caught arith exception: divide by zero
Caught my async exception

Masquerade

If asynchronous exception may pop up in any context

Can it appear inside of catch handler?

main = action `catch` \e -> do
         printError e
         cleanup
main = action `catch` \e -> do
         printError e
         (cleanup `catch` \e -> ...)

Still not good :(

mask_ :: IO a -> IO a

Executes an IO computation with asynchronous exceptions masked.

I.e. any thread which attempts to raise an exception in the current thread with throwTo will be blocked until asynchronous exceptions are unmasked again.

main = action `catch` \e -> do
         printError e
         (mask_ cleanup)

Bracket is your friend

  • Properly using mask is very hard, use bracket
  • Restoring from async exceptions is dangerous
    • Make the clean-up and exit
  • Async and sync exceptions are indistinguishable
    • Consider using package safe-exceptions 

Some advice on exception handling

Never use forkIO

asyncExec :: IO a -> IO (MVar a)
asyncExec action = do
  mvar <- newEmptyMVar
  _tid <- forkIO (action >>= putMVar mvar)
  pure mvar

main = do
  resMV1 <- asyncExec $ do
    threadDelay 500000
    pure "foo"
  resMV2 <- asyncExec $ do
    threadDelay 500000
    pure "bar"
  (res1, res2) <- liftA2 (,) (takeMVar resMV1) (takeMVar resMV2)
  putStrLn $ "Computed " <> res1 <> " and " <> res2

Let's launch two IO computations in parallel

asyncExec :: IO a -> IO (MVar a)
asyncExec action = do
  mvar <- newEmptyMVar
  _tid <- forkIO (action >>= putMVar mvar)
  pure mvar

main = do
  resMV1 <- asyncExec $ do
    threadDelay 500000
    pure "foo"
  resMV2 <- asyncExec $ do
    threadDelay 500000
    throwIO MyException
    pure "bar"
  (res1, res2) <- liftA2 (,) (takeMVar resMV1) (takeMVar resMV2)
  putStrLn $ "Computed " <> res1 <> " and " <> res2

Oops...

MyException
*** Exception: thread blocked indefinitely in an MVar operation
asyncExec :: IO a -> IO (MVar a)
asyncExec action = do
  mvar <- newEmptyMVar
  _tid <- forkIO (action >>= putMVar mvar)
  pure mvar

main = do
  let action1 = do
    threadDelay 500000
    pure "foo"
  let action2 = do
    threadDelay 500000
    throwIO MyException
    pure "bar"
  (res1, res2) <- concurrently action1 action2
  putStrLn $ "Computed " <> res1 <> " and " <> res2

concurrently :: IO a -> IO b -> IO (a, b)
*** Exception: MyException

Async package 

-- Control.Concurrent.Async

concurrently :: IO a -> IO b -> IO (a, b)
race         :: IO a -> IO b -> IO (Either a b)
worker :: Int -> IO Int  -- simulate some work
worker n = threadDelay (10^2 * n) >> return (n * n)
-- Spawn 2 threads in parallel, halt on both finished.
test1 :: IO (Int, Int)
test1 = concurrently (worker 1000) (worker 2000)
-- Spawn 2 threads in parallel, halt on first finished.
test2 :: IO (Either Int Int)
test2 = race (worker 1000) (worker 2000)
-- Spawn 10000 threads in parallel, halt on all finished.
test3 :: IO [Int]
test3 = mapConcurrently worker [0..10000]

Basic primitives

Concurrently newtype

-- Concurrently newtype is just an IO action that can be composed
-- with other Concurrently values using the Applicative and Alternative instances
newtype Concurrently a = Concurrently { runConcurrently :: IO a }
test1 :: IO (Int, Int)
test1 = runConcurrently $ (,)
  <$> Concurrently (worker 1000)
  <*> Concurrently (worker 2000)
 
test2 :: IO (Either Int Int)
test2 = runConcurrently
    $ (Left  <$> (Concurrently $ worker 1000))
  <|> (Right <$> (Concurrently $ worker 2000))

It's easy to build complex computation using Concurrently newtype

Async package

withAsync :: IO a -> (Async a -> IO b) -> IO b
wait      :: Async a -> IO a  -- wait for an asynchronous action to be complete
cancel    :: Async a -> IO () -- cancel an asynchronous action
poll      :: Async a -> IO (Maybe (Either SomeException a)) -- check whether the action is completed
test4 :: String -> String -> (ByteString, ByteString)
test4 url1 url2 = 
    withAsync (getURL url1) $ \a1 -> do
      withAsync (getURL url2) $ \a2 -> do
          page1 <- wait a1
          page2 <- wait a2
          pure (page1, page2)
-- The action running in a different thread, which, if successful,
-- will give a result of type 'a'.
data Async a

Advanced usage

Transactions (1 / 3)

type Account = IORef Integer

transfer :: Integer -> Account -> Account -> IO ()
transfer amount from to = do
    fromVal <- readIORef from
    toVal   <- readIORef to
    writeIORef from (fromVal - amount)
    writeIORef to (toVal + amount)

You all know this is bad :)

Transactions (2 / 3)

type Account = MVar Integer

credit :: Integer -> Account -> IO ()
credit amount account = do
    current <- takeMVar account
    putMVar account (current + amount)

debit :: Integer -> Account -> IO ()
debit amount account = do
    current <- takeMVar account
    putMVar account (current - amount)

Problems?

transfer :: Integer -> Account -> Account -> IO ()
transfer amount from to = do
    debit amount from
    credit amount to

Transactions (3 / 3)

type Account = TVar Integer

credit :: Integer -> Account -> STM ()
credit amount account = do
    current <- readTVar account
    writeTVar account (current + amount)

debit :: Integer -> Account -> STM ()
debit amount account = do
    current <- readTVar account
    writeTVar account (current - amount)

transfer :: Integer -> Account -> Account -> STM ()
transfer amount from to = do
    debit amount from
    credit amount to

STM

-- import Control.Concurrent.STM
data STM a  -- software transactional memory
instance Monad STM where

atomically :: STM a -> IO a

data TVar a -- transactional variable
newTVar   :: a -> STM (TVar a)
readTVar  :: TVar a -> STM a
writeTVar :: TVar a -> a -> STM ()

retry     :: STM a                   -- try again current transaction
orElse    :: STM a -> STM a -> STM a -- if first retries then call second

throwSTM  :: Exception e => e -> STM a
catchSTM  :: Exception e => STM a -> (e -> STM a) -> STM a

Executes all or rollback without applying changes.

STM examples

transfer :: Integer -> Account -> Account -> STM ()
transfer amount from to = do
    fromVal <- readTVar from
    if (fromVal - amount) >= 0
        then do
               debit amount from
               credit amount to
        else retry
takeEitherTMVar :: TMVar a -> TMVar b -> STM (Either a b)
takeEitherTMVar ma mb =
    fmap Left  (takeTMVar ma)
      `orElse`
    fmap Right (takeTMVar mb)

STM (TVar) is composable and more flexible but MVar is faster.

If you want concurrent Map or Set:

Immutability advantages

1. Easier to debug

2. Easier to write thread-safe code

3. Harder to shoot yourself in the foot or even blow up your head

Can't modify

⇒ No writes

⇒ No data races

⇒ No locks

Purity advantages

1. No side-effects

2. Arbitrary order of evaluation

3. Again, easier to write thread-safe code

Parallel primitives

runEval :: Eval a -> a  -- pull the result out of the monad

rpar :: a -> Eval a  -- suggest to parallel, create *spark* 
rseq :: a -> Eval a  -- wait for evaluation of argument (eval it to WHNF)

Spark — amount of job that could be done

Spark — hint to compiler: «Do it in parallel»

data Eval a                  -- Eval is monad for parallel computation
instance Monad Eval where

How to execute pure computations in parallel?

Difference between rpar and rseq (1/3)

runEval $ do
    a <- rpar (f x)  -- assume that (f x) evaluates longer 
    b <- rpar (f y)
    return (a, b)

Difference between rpar and rseq (2/3)

runEval $ do
    a <- rpar (f x)  
    b <- rseq (f y)  -- change `rpar` to `rseq` here
    return (a, b)

Difference between rpar and rseq (3/3)

runEval $ do
    a <- rpar (f x)
    b <- rseq (f y)
    rseq a
    return (a, b)

Classic example: fib

module Main where  -- TestFib.hs

fib :: Int -> Int  -- naive fibonacci
fib 0 = 1
fib 1 = 1
fib n = fib (n - 1) + fib (n - 2)
evalFibPair :: (Int, Int)
evalFibPair = (fib 39, fib 38)

main :: IO ()
main = print evalFibPair
$ ghc -O2 -rtsopts -eventlog TestFib.hs
$ ./TestFib +RTS -s -l

-O2: optimization level

-rtsopts: add ability to use +RTS

-eventlog: add ability to produce log

-s: show stats in terminal

-l: generate .eventlog

threadscope (1/3)

$ threadscope TestFib.eventlog

threadscope (2/3)

parEvalFibPair :: (Int, Int)
parEvalFibPair = runEval $ do
    a <- rpar (fib 39)
    b <- rpar (fib 38)
    return (a, b)

More ghc options

$ ghc -O2 -threaded -rtsopts -eventlog TestFib.hs
$ ./TestFib +RTS -N2 -s -l

-threaded: enable threading

-Ni: use i cores in CPU

No default multhreading

threadscope (3/3)

What about sparks?

  # some output produced by -s
  Parallel GC work balance: 46.74% (serial 0%, perfect 100%)

  TASKS: 6 (1 bound, 5 peak workers (5 total), using -N2)

  SPARKS: 2 (1 converted, 0 overflowed, 0 dud, 0 GC'd, 1 fizzled)

  INIT    time    0.003s  (  0.003s elapsed)
  MUT     time    1.365s  (  0.685s elapsed)
  GC      time    0.000s  (  0.000s elapsed)
  EXIT    time    0.001s  (  0.001s elapsed)
  Total   time    1.372s  (  0.689s elapsed)

converted — useful work

overflowed — sparks generated after spark pool limit achieved

dud — already evaluated at the moment of applying `rpar`

GC’d unused and thrown away (ignored) garbage collected

fizzledwas unevaluated at the time it was sparked but was later evaluated independently by the program

All is immutable and pure ⇒ lets parallelize all!

Problememes?

No automatic parallelization :(

Innacurate parallelism (1/2)

parFib :: Int -> Int
parFib 0 = 1
parFib 1 = 1
parFib n = runEval $ do
    a <- rpar $ parFib (n - 1)
    b <- rpar $ parFib (n - 2)
    pure (a + b)

main = print $ parFib 41
  -- ./TestFib +RTS -N4 -s -l
  Parallel GC work balance: 55.53% (serial 0%, perfect 100%)

  TASKS: 10 (1 bound, 9 peak workers (9 total), using -N4)

  SPARKS: 535971258 (120 converted, 188823067 overflowed, 0 dud, 
                     346527789 GC'd, 620282 fizzled)

  INIT    time    0.001s  (  0.001s elapsed)
  MUT     time   24.200s  (  6.797s elapsed)
  GC      time    8.312s  (  2.321s elapsed)
  EXIT    time    0.001s  (  0.000s elapsed)
  Total   time   32.514s  (  9.119s elapsed)

Innacurate parallelism (2/2)

What else?

1. REPA and DPH (parallel arrays, numerical haskell)

2. Channels (Chan and TChan)

3. Par monad

4. Distributed programming (CloudHaskell)

5. GHC scheduler (round-robin)

6. Tuning and debugging

Read all concurrently

Strategies

rpar :: a -> Eval a
rseq :: a -> Eval a

Combine rpar and rseq?

type Strategy a = a -> Eval a
parPair :: Strategy (a, b)  -- (a, b) -> Eval (a, b)
parPair (a, b) = do
    a' <- rpar a
    b' <- rpar b
    return (a', b')
parPair :: Strategy (a, b)  -- or even better with applicative
parPair (a, b) = (,) <$> rpar a <*> rpar b
parEvalFibPair :: (Int, Int)
parEvalFibPair = runEval $ parPair evalFibPair
using :: a -> Strategy a -> a
x `using` s = runEval (s x)
parEvalFibPair :: (Int, Int)
parEvalFibPair = evalFibPair `using` parPair  -- !!!
withStrategy :: Strategy a -> a -> a  -- flipped `using`

Combine strategies

dot :: Strategy a -> Strategy a -> Strategy a
strat2 `dot` strat1 = strat2 . runEval . strat1
rparWith :: Strategy a -> Strategy a  -- behaves like: rpar `dot` strat
                                      -- just use: rparWith strat
evalTuple2 :: Strategy a -> Strategy b -> Strategy (a, b)
evalTuple2 strat1 strat2 (x1, x2) = (,) <$> strat1 x1 <*> strat2 x2
parTuple2 :: Strategy a -> Strategy b -> Strategy (a, b)
parTuple2 strat1 strat2 = evalTuple2 (rparWith strat1) (rparWith strat2)
parPair :: Strategy (a, b)
parPair = evalTuple2 rpar rpar
evalTraversable :: Traversable t => Strategy a -> Strategy (t a)
evalTraversable = traverse
parTraversable :: Traversable t => Strategy a -> Strategy (t a)
parTraversable strat = evalTraversable (rparWith strat)
parList :: Strategy a -> Strategy [a]
parMap :: Strategy b -> (a -> b) -> [a] -> [b]
parMap strat f = withStrategy (parList strat) . map f

parList and GC'd sparks (1/2)

evalList :: Strategy a -> Strategy [a]
evalList strat []     = return []
evalList strat (x:xs) = do
  x'  <- strat x
  xs' <- evalList strat xs
  return (x':xs')
parList :: Strategy a -> Strategy [a]
parList strat = evalList (rparWith strat)

Let's write a tail-recursive version

parList :: Strategy a -> Strategy [a]
parList strat xs = do
    go xs
    return xs
 where
  go []     = return ()
  go (x:xs) = do 
      rparWith strat x
      go xs

parList and GC'd sparks (2/2)

All the parallelism it creates will be discarded by the garbage collector.

Par Monad

newtype Par a
instance Monad Par where

runPar :: Par a -> a
fork :: Par () -> Par ()

data IVar a  -- instance Eq

new  :: Par (IVar a)
put  :: NFData a => IVar a -> a -> Par ()  -- evaluate to NF
put_ :: IVar a -> a -> Par ()              -- evaluate to WHNF
get  :: IVar a -> Par a
parMTwoFibs :: Int -> Int -> Int
parMTwoFibs n m = runPar $ do
    i <- new 
    j <- new
    fork (put i (fib n))
    fork (put j (fib m))
    a <- get i
    b <- get j
    return (a + b)
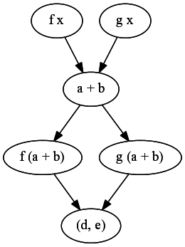
import Control.Monad (replicateM)
import Control.Monad.Par

f, g :: Int -> Int
f x = x + 10
g x = x * 10

example1 :: Int -> (Int, Int)
example1 x = runPar $ do
    [a,b,c,d,e] <- replicateM 5 new
    fork $ put a (f x)
    fork $ put b (g x)
    a' <- get a
    b' <- get b
    fork $ put c (a' + b')
    c' <- get c
    fork $ put d (f c')
    fork $ put e (g c')
    d' <- get d
    e' <- get e
    return (d', e')

Par examples (1 / 3)

spawn :: NFData a => Par a -> Par (IVar a)
spawn p = do
    i <- new
    fork $ p >>= put i
    return i

Par maps

-- monadic map
parMapM :: NFData b => (a -> Par b) -> [a] -> Par [b]
parMapM f xs = do
    ibs <- mapM (spawn . f) xs
    mapM get ibs
-- simple parallel map
parMap :: NFData b => (a -> b) -> [a] -> Par [b]
example2 :: [Int]
example2 = runPar $ parMap (+1) [1..25]

Par examples (2, 3 / 3)

-- foldr (+) 0 (map (^2) [1..n])
example3 :: Int -> Int
example3 n = runPar $ do
    let range       = InclusiveRange 1 n
    let mapper  x   = return (x^2)
    let reducer x y = return (x+y)
    parMapReduceRangeThresh 10 range mapper reducer 0

Lecture 09: Concurrency, Exceptions and parallelism

By ITMO CTD Haskell

Lecture 09: Concurrency, Exceptions and parallelism

Lecture about parallel and concurrent paradigms and haskell, difference, parallel monads, MVar, fork and a little about scheduler.

  • 4,390