U.E. MANUELA SAENZ DE AIZPURU D7

QUIMICA
3RO BGU
TEMA: ACIDOS CARBOXILICOS
LUNES, 1 DE MARZO DEL 2021




ACIDOS CARBOXILICOS




ACIDOS CARBOXILICOS
Los ácidos orgánicos, denominados ácidos carboxílicos, se caracterizan por la presencia, en su molécula, del grupo funcional carboxilo (—COOH). La estructura general de los ácidos es:



Su nomenclatura se deriva de la de los hidrocarburos.
En este caso se sustituye la terminación -o de estos por -oico y se antepone la palabra ácido.



ACIDOS CARBOXILICOS
ACIDOS CARBOXILICOS





ACIDOS CARBOXILICOS


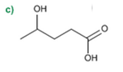
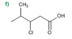
APLICACION
Nombre los siguientes carboxilos y envíe su respuesta al chat sincrónico de su clase:







ACIDOS CARBOXILICOS


WEBGRAFIA
https://www.google.com.ec/search?q=acidos+carboxilicos+gif&tbm=isch&ved=2ahUKEwjeq-Cny4_vAhUCV1kKHVFmCkEQ2cCegQIABAA&oq=GIF+ACIDOS+CARBOXILICOS&gs_lcp=CgNpbWcQARgAMgYIABAIEB46CAgAEAgQBxAeUPj4AlimjgNgkJ4DaABwAHgAgAGmAogBzwWSAQUwLjMuMZgBAKABAaoBC2d3cy13aXotaW1nwAEB&sclient=img&ei=OSA9YJ6rKYKu5QLRzKmIBA&authuser=0&bih=657&biw=1366&hl=es#imgrc=b4ntJD4-tooLGM
https://www.google.com.ec/search?q=fondos+qu%C3%ADmica+org%C3%A1nica&tbm=isch&ved=2ahUKEwjSmoXCy4_vAhUXV1kKHe8SBegQ2-cCegQIABAA&oq=FONDOS+QUIMICA+ORGA&gs_lcp=CgNpbWcQARgAMgIIADIGCAAQCBAeOgQIIxAnOgQIABBDOgUIABCxAzoHCAAQsQMQQ1DUzQlYjuYJYLH3CWgAcAB4AIABnAKIAaIUkgEGMC4xOC4xmAEAoAEBqgELZ3dzLXdpei1pbWfAAQE&sclient=img&ei=cCA9YNKiMZeu5QLvpZTADg&authuser=0&bih=657&biw=1366&hl=es#imgrc=Eh1u4f1lulw6xM&imgdii=5N4DsrzbsADqtM
https://www.google.com.ec/search?q=acidos+carboxilicos+gif&tbm=isch&ved=2ahUKEwjMtbWQzI_vAhUDOFMKHeiVA54Q2-cCegQIABAA&oq=ACIDOS+CARBOXILICOS&gs_lcp=CgNpbWcQARgAMgQIIxAnMgUIABCxAzICCAAyAggAMgIIADICCAAyAggAMgIIADICCAAyAggAOgQIABBDOgcIABCxAxBDUOaaGljUuBpgmcYaaABwAHgAgAG0A4gBwxWSAQowLjE3LjEuMC4xmAEAoAEBqgELZ3dzLXdpei1pbWfAAQE&sclient=img&ei=FSE9YIzXCoPwzALoq47wCQ&authuser=0&bih=657&biw=1366&hl=es#imgrc=QmBiPb3cyIVUBM
https://www.google.com.ec/search?q=acidos+carboxilicos+gif&tbm=isch&ved=2ahUKEwjMtbWQzI_vAhUDOFMKHeiVA54Q2-cCegQIABAA&oq=ACIDOS+CARBOXILICOS&gs_lcp=CgNpbWcQARgAMgQIIxAnMgUIABCxAzICCAAyAggAMgIIADICCAAyAggAMgIIADICCAAyAggAOgQIABBDOgcIABCxAxBDUOaaGljUuBpgmcYaaABwAHgAgAG0A4gBwxWSAQowLjE3LjEuMC4xmAEAoAEBqgELZ3dzLXdpei1pbWfAAQE&sclient=img&ei=FSE9YIzXCoPwzALoq47wCQ&authuser=0&bih=657&biw=1366&hl=es#imgrc=H9SYzSRUqEkKBM
https://www.google.com.ec/search?q=acidos+carboxilicos+gif&tbm=isch&ved=2ahUKEwjMtbWQzI_vAhUDOFMKHeiVA54Q2-cCegQIABAA&oq=ACIDOS+CARBOXILICOS&gs_lcp=CgNpbWcQARgAMgQIIxAnMgUIABCxAzICCAAyAggAMgIIADICCAAyAggAMgIIADICCAAyAggAOgQIABBDOgcIABCxAxBDUOaaGljUuBpgmcYaaABwAHgAgAG0A4gBwxWSAQowLjE3LjEuMC4xmAEAoAEBqgELZ3dzLXdpei1pbWfAAQE&sclient=img&ei=FSE9YIzXCoPwzALoq47wCQ&authuser=0&bih=657&biw=1366&hl=es#imgrc=EYJaigWeqV3myM
https://www.youtube.com/watch?v=b0T4w0-taOM
Text
BIBLIOGRAFIA
|
Ministerio de Educación del Ecuador (2017). Química 3ero. Curso. Quito: DON BOSCO. |
Ministerio de Educación del Ecuador (2020). Currículo Priorizado. Quito.
3bgu acidos carboxilicos
By Franklin Galarza
3bgu acidos carboxilicos
- 106