Logic gate
分組
| 0小 | 1小 | 2小 | 3小 | 4小 | 5小 | 6小 | 7小 |
|---|---|---|---|---|---|---|---|
| 陳妤婷 | 潘玟岑 | 吳若喬 | 戴以琳 | 胡雅琦 | 張育瑄 | 黃渝崴 | 田瀞云 |
| 葉恩彤 | 盧欣薇 | 施幸昀 | 張淳閔 | 陳曉璇 | 謝婷安 | 王奕晴 | 許婕恩 |
| 蔡芳宇 | 蔡嘉穎 | 吳家萱 | 邱怡甄 | 盧奕寧 | 姚宥均 | 王毓媞 | 牟翊綺 |
| 8小 | 9小 | 10小 |
|---|---|---|
| 陳真 | 江育萱 | 洪翠憶 |
| 游品妍 | 黃嘉芊 | 胡恩綺 |
| 林沂蒨 | 張瓅勻 | 劉恩睿 |
請同一組的人按照白板上的位置坐在一起,然後了解一下名字吧~
Logic gate
NOT Gate
A
X
| A | X |
|---|---|
| 1 | 0 |
| 0 | 1 |
X=A
OR Gate
A
B
X
| A | B | x |
|---|---|---|
| 0 | 0 | 0 |
| 0 | 1 | 1 |
| 1 | 0 | 1 |
| 1 | 1 | 1 |
X=A+B
AND Gate
A
B
X
| A | B | x |
|---|---|---|
| 0 | 0 | 0 |
| 0 | 1 | 0 |
| 1 | 0 | 0 |
| 1 | 1 | 1 |
X=A B
Logic gate
NOR Gate
A
B
X
| A | B | x |
|---|---|---|
| 0 | 0 | 1 |
| 0 | 1 | 0 |
| 1 | 0 | 0 |
| 1 | 1 | 0 |
X=A+B
NAND Gate
A
B
X
| A | B | x |
|---|---|---|
| 0 | 0 | 1 |
| 0 | 1 | 1 |
| 1 | 0 | 1 |
| 1 | 1 | 0 |
X=AB
布林代數式
真值表
符號
Logic gate
XOR Gate
A
B
X
| A | B | x |
|---|---|---|
| 0 | 0 | 0 |
| 0 | 1 | 1 |
| 1 | 0 | 1 |
| 1 | 1 | 0 |
X=A B
XNOR Gate
A
B
X
| A | B | x |
|---|---|---|
| 0 | 0 | 1 |
| 0 | 1 | 0 |
| 1 | 0 | 0 |
| 1 | 1 | 1 |
X=A B
布林代數式
真值表
符號
Adder
半加器+全加器
binary
十進位
二進位
1 4
1 * 10^1+4 * 10^0
1 1 1 0
1*2^3+1*2^2+1*2^1+0*2^0
9
9*10^0
1 0 0 1
1*2^3+0*2^2+0*2^1+1*2^0

Half Adder (半加器)
| A | B | SUM |
|---|---|---|
| 0 | 0 | 0 |
| 0 | 1 | 1 |
| 1 | 0 | 1 |
| 1 | 1 | 0 |
XOR
| A | B | CARRY |
|---|---|---|
| 0 | 0 | 0 |
| 0 | 1 | 0 |
| 1 | 0 | 0 |
| 1 | 1 | 1 |
AND
| A | B | A+B |
|---|---|---|
| 0 | 0 | 00 |
| 0 | 1 | 01 |
| 1 | 0 | 01 |
| 1 | 1 | 10 |
FULL Adder (全加器)

試著推推看吧
| A | B | Ci | Co | S |
|---|---|---|---|---|
| 1 | 0 | 0 | ||
| 1 | 0 | 1 | ... | ... |
| 1 | 1 | 0 | ||
| 1 | 1 | 1 | ||
| 0 | 0 | 0 | ||
| 0 | 0 | 1 | ||
| 0 | 1 | 0 | ||
| 0 | 1 | 1 |
quantum computer
疊加(superposition)
糾纏(entanglement)

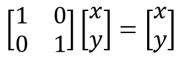
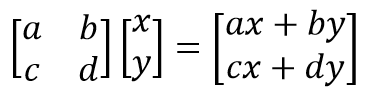
矩陣乘法
- 前面的每一橫列,對應後面的每一直行乘起來相加
- 矩陣乘法沒有交換律
單位矩陣就像是加法裡面的0,或是乘法裡面的1,不影響運算
qiskit & ibm quantum
- Qiskit 是學習量子計算的一個網頁(也有youtube頻道)
- IBM Quantum 是一個量子運算線上平台
矩陣戰士
- 需求:會矩陣乘法、有耐心(建議由高二學姊擔任)
- 目標:以數學解釋解釋組員發現的規律
Hello
quantum
- 需求:要註冊IBM Quantum 的帳號
- 目標:隨便試試看不同邏輯閘會跑出什麼結果
ibm quantum
- 需求:下載Hello Quantum的App
- 目標:透過遊戲闖關找尋各種邏輯閘的特性
| |0>的變化 | |1>的變化 | |
|---|---|---|
| X gate | |0> → |1> | |1> → |0> |
| Y gate | |0> → i|1> | |1> → -i|0> |
| Z gate | |0> → |0> | |1> →-|1> |
| H gate | |0> → 1/√2(|0>+|1>) |
|1> → 1/√2(|0>-|1>) |
| CNOT gate | |00> → |00> |10> → |10> |
|01> → |11> |11> → |01> |
Resourses
deck
By fu05j6
deck
- 59