United in Diversity?

An Empirical Investigation on Europe's Regional Social Capital

Fabian Stephany and

Fabian Braesemann

10th Geoffrey J.D. Hewings Regional Economics Workshop, 25/9/2017

Our motivation

was the diverse EU response to the refuge challenge.

1/9

Is social capital

more than trust, norms, and networks?

Coleman, J. S. (1988). Social capital in the creation of human capital. American journal of sociology94, S95-S120.

2/9

Three aspects emerge from our data-driven analysis

of 26 items from the ESS 6/7.

3/9

"Social capitalists" 

have truncated the European continent in many ways.

4/9

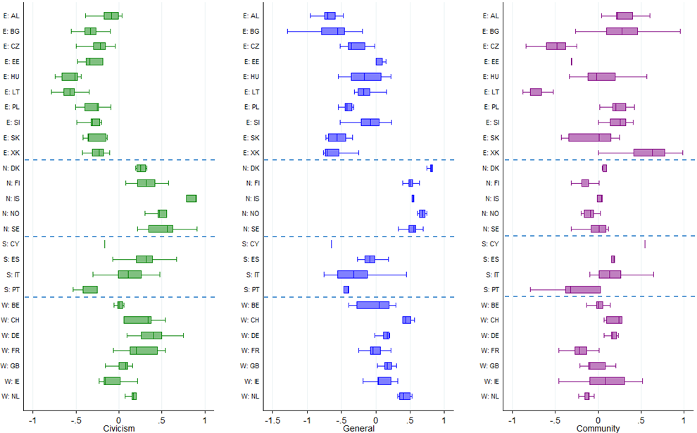
General, civic, and communitarian social capital

are diversely distributed across and within countries.

5/9

General, civic, and communitarian social capital

are diversely distributed across and within countries.

6/9

General, civic, and communitarian social capital

are diversely distributed across and within countries.

7/9

New facets allow a more refined analysis

with the use of non-parametric tools.

8/9

In summary, 

we hope to enrich the debate with three contributions:

Three Dimensions

Regional Distribution

Non-Parametric Measure

9/9

United in Diversity - WIFO Seminar 2017

By fundf

United in Diversity - WIFO Seminar 2017

  • 770