Presentations
Templates
Features
Teams
Pricing
Log in
Sign up
Log in
Sign up
Menu
206neutrinos
Anas Buyumad
Gauthier Cler
THE PROJECT
STUDY OF NEUTRINOS
Jørgen
Olaf
FORMULA
COMPUTATION
Number of Values
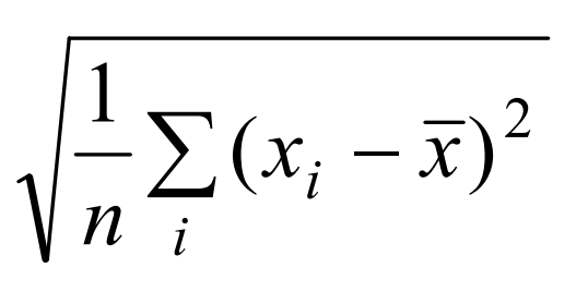
Standard DEVIATION
ARITHMETIC MEAN
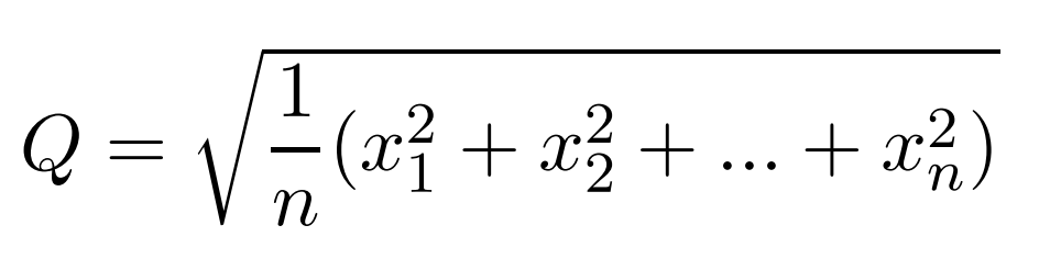
QUADRATIC MEAN
HARMONIC MEAN
STANDARD DEVIATION
standardafvilgelse
ARITHMETIC MEAN
aritmetisk gennemsnit
QUADRATIC MEAN
kvadratisk gennemsnit
HARMONIC MEAN
harmonisk gennemsnit
Questions
206neutrinos
By googo
Made with Slides.com
206neutrinos
640
googo
More from
googo