Universidad Técnica Nacional
Sede San Carlos
Alumnos:
-
Grettel Monge Rojas.
-
José Andrés Obando Díaz.
-
Allan Sibaja Rojas.
-
Andrey Alfaro Aguilar.
Intervalos De Confianza
Qué Son?
Rango de valores en el cual se puede encontrar el verdadero valor del parámetro con una probabilidad determinada.

Definiciones
Nivel De Confianza.
Probabilidad de que el verdadero valor se encuentre en el intervalo construido.
Denotación: 1-a
Nivel De Significancia
Probabilidad de equivocarse.
Simboliza: a
Tipos

A-Intervalo De Confianza Para Un Promedio
Formula Normal=
Formula de Confianza para un Promedio=

Ejemplo:
Los siguientes datos son los puntajes obtenidos para 45 personas de una escala de depresión (mayor puntaje significa mayor depresión).
El resultado es un intervalo que incluye al
U el 95% de las veces. Es decir, es un intervalo de confianza al 95% para la media Ucuando la variable X es normal y o2 es conocido.

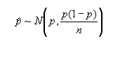
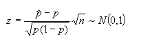
B-Intervalo De Confianza Para Una Proporción.
=estimador Muestral
P =Porcentaje de Personas con características de interés poblacional.

Estimador Muestral
Definición:
Es un intervalo, calculado a partir de los datos de la muestra, en el cual nosotros “confiamos” se encuentra la proporción de la población P.

Ejemplo:
En un estudio de prevalencia de factores de riesgo en una cohorte de 412 mujeres mayores de 15 años en la Región Metropolitana, se encontró que el 17.6% eran hipertensas. Un intervalo de 95% de confianza para la proporción de mujeres hipertensas en la Región Metropolitana está dado por:
Luego,la proporción de hipertensas varía entre (0,139 y 0,212) con una confianza de 95%.

C-Uso De Intervalos De Confianza Para Verificar Hipótesis.
Los intervalos de confianza permiten verificar hipótesis planteadas respecto a parámetros poblacionales.

Ejemplo


Intervalos de Confianza
By Grettel Monge
Intervalos de Confianza
- 821
