Summary Presentation of:

Hugo Hadfield

hh409.user.srcf.net

Architecture

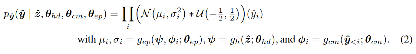
Hyper-prior entropy model learns a family of entropy models, side information in z parameterises where in distribution an image is

Context model allows local context of previously decoded latents to help decode later ones, reduces required amount of information to transmit

Loss Function

Entropy of the latent image bitstream under the model given by the quantised entropy model parameters

Entropy of the hyper-latent bitstream

Error in the reconstructed image

rate-distortion tradeoff weight

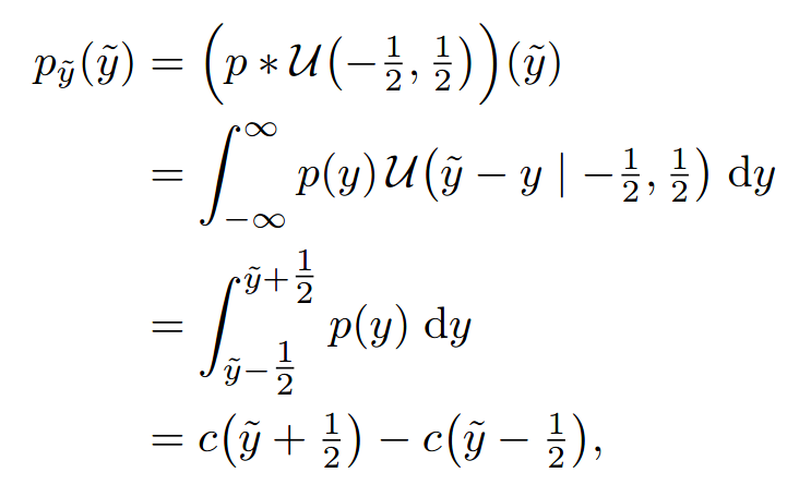
Differentiability

Key trick is to substitute quantisation for the addition of uniform noise: convolution with a uniform distribution

This allows us to write down

Where \(c\) is the cumulative density of the underlying model, ie. a normal distribution

Joint Autoregressive and Hierarchical Priors for Learned Image Compression

By Hugo Hadfield

Joint Autoregressive and Hierarchical Priors for Learned Image Compression

This presentation is a summary of a paper on deep learning for Image Compression. For more technical content check out my website http://hh409.user.srcf.net

  • 1,228