Signal Processing

Linear time-invariant (LTI) systems

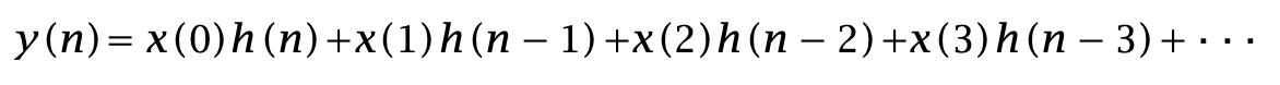
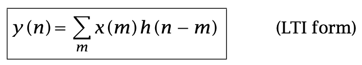
The input/output (I/O) relationship of LTI systems is given by the discrete-time convolution of the system’s impulse response with the input signal.

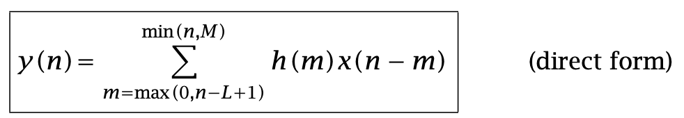
Depending on the application and hardware, an FIR digital filtering operation can be organized to operate either on a block basis or a sample-by-sample basis.

LTI systems can be classified into: finite impulse response (FIR) or infinite impulse response (IIR) types depending on whether their impulse response has finite or infinite duration.

Linearity and Time Invariance

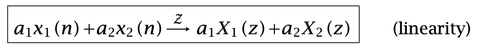
A linear system has the property that the output signal due to a linear combination of two or more input signals can be obtained by forming the same linear combination of the individual outputs.

Linearity and Time Invariance

A time-invariant system is a system that remains unchanged over time.

The operation of waiting or delaying a signal by a time delay of, say, D units of time is shown in Fig. 3.2.2. It represents the right translation of x(n) as a whole by D samples.

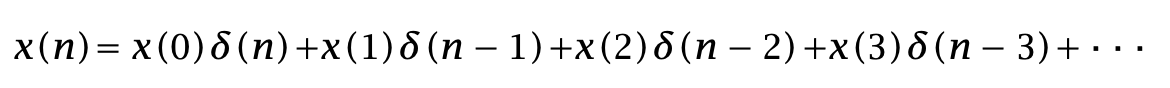
Impulse Response

LTI systems are characterized uniquely by their impulse response sequence h(n), which is defined as the response of the system to a unit impulse δ(n), as shown in Fig. 3.3.1.

This is the discrete-time convolution of the input sequence x(n) with the filter sequence h(n). Thus, LTI systems are convolvers.

FIR Filtering and Convolution

Various equivalent forms of convolution: (FIR filters and finite-duration inputs)

  • Direct form
  • Convolution table
  • LTI form
  • Matrix form
  • Flip-and-slide form
  • Overlap-add block convolution form
\int\tilde{x}_1(f) \cdot \tilde{x}_2(f) e^{2\pi ift}df= x_1(t)*x_2(t)
x_1(t)*x_2^*(-t) = x_1(t)\star x_2(t)
\int\tilde{x}_1(f) \cdot \tilde{x}^*_2(f) e^{2\pi ift}df= x_1(t)\star x_2(t)

FIR Filtering and Convolution

Various equivalent forms of convolution: (block-by-block and finite-duration inputs)

  • Direct form
  • Convolution table
  • LTI form
  • Matrix form
  • Flip-and-slide form
  • Overlap-add block convolution form

Sample Processing Methods

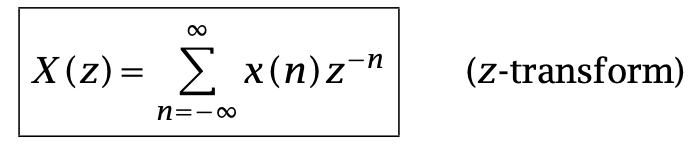
z-Transforms / Transfer functions

Given a discrete-time signal x(n), its z-transform is defined as the following series:

The z-transform of h(n) is called the transfer function of the filter and is defined by:

The three most important properties of z-transforms that facilitate the analysis and synthesis of linear systems are:

z-Transforms / Transfer functions

Transfer function

In general, the transfer function of an IIR filter is given as the ratio of two polynomials of degrees, say L and M:

Note that by convention, the 0th coefficient of the denominator polynomial has been set to unity a0 = 1. The filter H(z) will have L zeros and M poles.

Transfer function

As an example, consider the transfer function:

We can obtain the difference equation for h(n):

Therefore, the I/O difference equation is:

The frequency response of this filter also can be obtained: 

Signal Processing

By He Wang

Signal Processing

  • 1,073