圖論概論
什麼是圖?


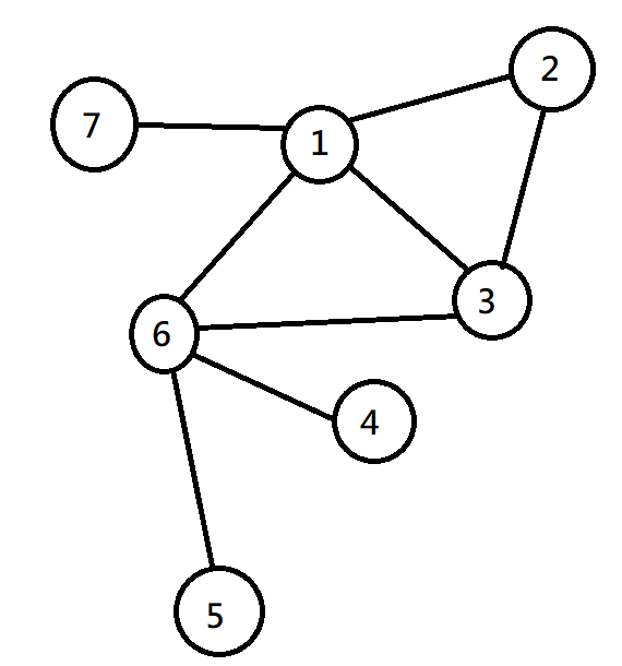
名詞介紹
*節點(node)
*邊(edge)
*度數(degree)
*樹圖(tree)
*父節點(parent)
*子節點(child)
*DAG
如何存圖?
相鄰矩陣

| 1 | 2 | 3 | 4 | 5 | 6 | 7 | |
|---|---|---|---|---|---|---|---|
| 1 | 0 | 1 | 1 | 0 | 0 | 1 | 1 |
| 2 | 1 | 0 | 1 | 0 | 0 | 0 | 0 |
| 3 | 1 | 1 | 0 | 0 | 0 | 1 | 0 |
| 4 | 0 | 0 | 0 | 0 | 0 | 1 | 0 |
| 5 | 0 | 0 | 0 | 0 | 0 | 1 | 0 |
| 6 | 1 | 0 | 1 | 1 | 1 | 0 | 0 |
| 7 | 1 | 0 | 0 | 0 | 0 | 0 | 0 |
空間不夠(?
相鄰節點vector

1: 2,3,6,7
2: 1,3
3: 1,2,6
4: 6
5: 6
6: 1,3,4,5
7: 1
example code
int n,m;
vector<int> mapa[100010];
cin>>n>>m;
int a,b;
for (int i=0;i<m;i++){
cin>>a>>b;
mapa[a].push_back(b);
mapa[b].push_back(a);
}int n,m;
int mapa[1010][1010];
cin>>n>>m;
int a,b;
for (int i=0;i<m;i++){
cin>>a>>b;
mapa[a][b]=1;
mapa[b][a]=1;
}經典算法:DFS

#include<bits/stdc++.h>
using namespace std;
int n,m;
vector<int> mapa[100010];
int vis[100010];
void DFS(int I){
vis[I]=1;
cout<<I<<' ';
for (int x:mapa[I]){
if (!vis[x]){
DFS(x);
}
}
}
int main(){
ios::sync_with_stdio(0);cin.tie(0);cout.tie(0);
cin>>n>>m;
int a,b;
for (int i=0;i<m;i++){
cin>>a>>b;
mapa[a].push_back(b);
mapa[b].push_back(a);
}
DFS(1);
return 0;
}
經典算法:BFS

#include<bits/stdc++.h>
using namespace std;
int n,m;
vector<int> mapa[100010];
int vis[100010];
queue<int> Q;
void BFS(){
int from;
Q.push(1);
vis[1]=1;
while (Q.size()){
from=Q.front();Q.pop();
cout<<from<<' ';
for (int x:mapa[from]){
if (!vis[x]){
Q.push(x);
vis[x]=1;
}
}
}
}
int main(){
ios::sync_with_stdio(0);cin.tie(0);cout.tie(0);
cin>>n>>m;
int a,b;
for (int i=0;i<m;i++){
cin>>a>>b;
mapa[a].push_back(b);
mapa[b].push_back(a);
}
BFS();
return 0;
}
#include<bits/stdc++.h>
using namespace std;
int n,m,ans;
vector<int> mapa[100010];
int color[100010];
void DFS(int I,int source){
color[I]=!color[source];
for (auto x:mapa[I]){
if (color[x]==-1){
DFS(x,I);
}else {
if (color[x]==color[I]){
ans=0;
}
}
}
}
int main(){
ios::sync_with_stdio(0);cin.tie(0);cout.tie(0);
while (cin>>n&&n){
ans=1;
for (int i=0;i<n;i++){
mapa[i].clear();
color[i]=-1;
}
cin>>m;
int a,b;
for (int i=0;i<m;i++){
cin>>a>>b;
mapa[a].push_back(b);
mapa[b].push_back(a);
}
color[0]=0;
DFS(0,-1);
if (ans){
cout<<"NOT BICOLORABLE.\n";
}else {
cout<<"BICOLORABLE.\n";
}
}
return 0;
}
圖論概論
By jeffreylin0909
圖論概論
- 193