Activities at DTU
with squeezed and entangled light

Jonas S. Neergaard-Nielsen
QPIT/bigQ - Department of Physics, Technical University of Denmark

ASPIRE Keio-DTU kick-off, 2025-03-06

Q. Computing

Q. Comm. + (semi)di protocols

Q. light sources

Q. sensing

squeezing sources

Good old bow-tie OPO

ns-scale Pulsed squeezing 

LNOI chip squeezing

Quantum computing

Measurement-induced circuits

6 modes

400 modes

Measurement-induced circuits

Verma et al., in preparation

Measurement-induced Gaussian boson sampling

Octorail cluster state generator

Østergaard, Budinger, et al., arXiv:2502.19393

Quantum Communication

Measurement device independent resource certification:

Benjamin's talk

Extending the range of Gaussian QKD via quantum scissor:

Esben's talk

Benjamin Larsen

Esben Klarlund

Adnan Hajomer

Shuro Izumi

Adnan Hajomer

Chao Zhang

Lucas Faria

Distributed sensing

\phi_\mathrm{avg} = \frac{\phi_1 + \ldots + \phi_M}{M}

Estimate a global (distributed) parameter:

Different task

\phi_\mathrm{avg} = \frac{\phi_1 + \ldots + \phi_M}{M}

"Cheap" entanglement enhances estimation of a
global parameter of spatially separated systems

Estimate a global (distributed) parameter:

Different task

\phi_\mathrm{avg} = \frac{\phi_1 + \ldots + \phi_M}{M}
\phi_\mathrm{avg} = \frac{\phi_1 + \ldots + \phi_M}{M}

Xueshi Guo

Casper Breum

Johannes Borregaard

Guo et al., Nat. Phys. 16, 281 (2020)

\phi_\mathrm{avg} = \frac{\phi_1 + \ldots + \phi_M}{M}

Estimate the average of multiple optical phase shifts

Homodyne detector has been pre-aligned close to the optimal phase by some rough (or adaptive) initial estimation.

For small \(\phi_i\), estimate with homodyne detection of phase quadrature:

\langle \hat{P}_\mathrm{avg}\rangle \approx \sqrt{2\eta}\alpha \phi_\mathrm{avg}

SETTING

\sigma_\mathrm{separable} = \frac{1}{2\sqrt{M}N\sqrt{1+\frac{1}{N}}}
\sigma_\mathrm{entangled} = \frac{1}{2MN\sqrt{1+\frac{1}{MN}}}
\sigma_\mathrm{SQL} = \frac{1}{2\sqrt{MN}}

sensitivity  \(\sigma \equiv 1/SNR\)

- minimum resolvable phase shift

HEISENBERG SCALING IN PROBE ENERGY AND # OF SITES/SAMPLES

With losses,
Heisenberg scaling disappears but sensitivity gain remains

Realistic (lossy) situation

\sigma_\mathrm{separable} = \frac{1}{2\sqrt{M}N} \sqrt{\frac{N(1-\eta)+\frac{\eta}{2}(1+\sqrt{1+4N(1-\eta)})}{1+\eta/N}}
\sigma_\mathrm{entangled} = \frac{1}{2MN} \sqrt{\frac{MN(1-\eta)+\frac{\eta}{2}(1+\sqrt{1+4N(1-\eta)})}{1+\eta/N}}

For optimal balance between squeezed and coherent photons:

Experiment

\sigma \equiv \frac{1}{SNR} = \frac{\sqrt{\langle\Delta \hat P^2_\mathrm{avg} \rangle}}{|\partial \langle \hat P_\mathrm{avg}\rangle /\partial\phi_\mathrm{avg}|}

Measured sensitivities

\sigma \equiv \frac{1}{SNR} = \frac{\sqrt{\langle\Delta \hat P^2_\mathrm{avg} \rangle}}{|\partial \langle \hat P_\mathrm{avg}\rangle /\partial\phi_\mathrm{avg}|}

Measured sensitivities

\mu=\frac{N_\mathrm{sqz}}{N_\mathrm{total}}

Optimised photon number balance

Teleportation-enhanced phase sensing

{

}

×M

sensitivity \(\times\sqrt{M}\) 

sensitivity \(\times M\) 

Johannes Borregaard

Borregaard et al., npj Quantum Information 5, 16 (2019)

Clémentine Rouviere

Mateusz Kiciński

Learning a random displacement channel

New scenario

\Lambda
\hat\rho
\Lambda(\hat\rho)
\Lambda(\hat\rho) = \int d^{2n}\alpha \ p(\alpha) \hat{D}(\alpha) \hat\rho \hat D^\dagger(\alpha)
\alpha\in\mathbb{C}^n
p(\alpha) = \delta(\alpha)

Channel: 

Dynamics: 

Goal: 

Small phase shift (\(\approx\) p-displacement) on \(n\) modes

Static - can be probed repeatedly

Estimate average phase shift

Distributed sensing

x- AND p-displacements on \(n\) modes

Random - varies shot to shot, distribution \(p(\alpha)\) 

Learn \(p(\alpha)\)

Channel: 

Dynamics: 

Goal: 

Channel learning

\Lambda
\hat\rho
\Lambda(\hat\rho)
\Lambda(\hat\rho) = \int d^{2n}\alpha \ p(\alpha) \hat{D}(\alpha) \hat\rho \hat D^\dagger(\alpha)
\alpha\in\mathbb{C}^n

x- AND p-displacements on \(n\) modes

Random - varies shot to shot, distribution \(p(\alpha)\) 

Learn \(p(\alpha)\)

Channel: 

Dynamics: 

Goal: 

Channel learning

\alpha
\hat{x}
\hat{p}

EPR state

\hat{D}(\alpha)

← Squeezed probes are          no longer very useful

Take inspiration from        dense coding →

New scenario

Random displacement Channel learning

Random displacement Channel learning

\Lambda(\hat\rho) = \int d^{2n}\alpha \ p(\alpha) \hat{D}(\alpha) \hat\rho \hat D^\dagger(\alpha)
= \frac{1}{\pi^n}\int d^{2n}\beta \ \lambda(\beta) \text{Tr}[ \hat\rho \hat{D}(\beta)] \hat D^\dagger(\beta)
\lambda(\beta) = \int d^{2n}\alpha\ p(\alpha) e^{\alpha^\dagger\beta-\beta^\dagger\alpha}

Alternative description in terms of \(p\)'s characteristic function \(\lambda\):

Large \(\beta\) values ⇒ fast ripples in \(p(\alpha)\)

Random displacement Channel learning

\lambda(\beta) = \int d^{2n}\alpha\ p(\alpha) e^{\alpha^\dagger\beta-\beta^\dagger\alpha}

Aim:

Sample the channel \(N\) times, obtaining \(n\)-mode samples \(\{\zeta_i\}\),

after which an estimate \(\tilde\lambda(\beta)\) can be obtained with sufficiently low error for any \(\beta\) within a range \(|\beta|^2\le \kappa n\).

For the entangled scheme, an unbiased estimate is

\zeta_1, \ldots, \zeta_N
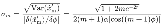
\tilde\lambda(\beta) = e^{e^{-2r}|\beta|^2} \tfrac{1}{N} \sum_{i=1}^{N} e^{\zeta_i^\dagger\beta-\beta^\dagger\zeta_i}

\(e^{2e^{-2r}|\beta|^2} \approx 5\cdot10^8\) for \(|\beta|^2=10\) and \(r=0\), but \(\approx 7\) for \(r=1.15\) (10 dB squeezing)

Random displacement Channel learning

Random displacement Channel learning

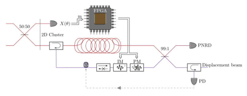
implementation

arXiv:2502.07770

implementation

implementation

EPR state in the H/V basis,

n modes separated in time

Displacement

implementation

implementation

\(n\) modes consecutive in time

Each mode: 1 µs long, 1 MHz bandwidth around 7 MHz sideband

\alpha_R^{(1)}
\alpha_R^{(2)}
\alpha_R^{(3)}
\alpha_I^{(1)}
\alpha_I^{(2)}
\alpha_I^{(3)}

Example:

one random sample for \(n=3\)

Result - massive quantum advantage in sensing

Result - massive quantum advantage in sensing

Zhenghao Liu

Jens AH Nielsen

Emil Østergaard

Romain Brunel

Oscar Boronat

Axel Bregnsbo

Ulrik Andersen

The displacement learning team

fibre stabilisation

fibre stabilisation

Experiment

Activities at DTU with squeezed and entangled light

By Jonas Neergaard-Nielsen

Activities at DTU with squeezed and entangled light

  • 328