Sensing and learning in phase space
with squeezed light

Jonas S. Neergaard-Nielsen
QPIT/bigQ - Department of Physics, Technical University of Denmark

STORMYTUNE conference, Gaeta, 2024-06-19

Q. Computing

Q. Comm. + (semi)di protocols

Q. light sources

Q. sensing

Distributed sensing

Single phase estimation with squeezed vacuum

LEARNING A RANDOM DISPLACEMENT CHANNEL

interferometric
measurement

Sensing a phase shift

limited by quantum noise

increase probe power - if possible

or squeeze...

Amplitude squeezing

Phase squeezing

or squeeze...

Squeezed vacuum

or squeeze...

PPKTP linear

PPKTP bow-tie

PPLN waveguide

Renato
Domeneguetti

Michael
Stefszky

Distributed sensing

\phi_\mathrm{avg} = \frac{\phi_1 + \ldots + \phi_M}{M}

Estimate a global (distributed) parameter:

Different task

\phi_\mathrm{avg} = \frac{\phi_1 + \ldots + \phi_M}{M}

"Cheap" entanglement enhances estimation of a
global parameter of spatially separated systems

Estimate a global (distributed) parameter:

Different task

\phi_\mathrm{avg} = \frac{\phi_1 + \ldots + \phi_M}{M}
\phi_\mathrm{avg} = \frac{\phi_1 + \ldots + \phi_M}{M}

Xueshi Guo

Casper Breum

Johannes Borregaard

\phi_\mathrm{avg} = \frac{\phi_1 + \ldots + \phi_M}{M}

Estimate the average of multiple optical phase shifts

Homodyne detector has been pre-aligned close to the optimal phase by some rough (or adaptive) initial estimation.

For small \(\phi_i\), estimate with homodyne detection of phase quadrature:

\langle \hat{P}_\mathrm{avg}\rangle \approx \sqrt{2\eta}\alpha \phi_\mathrm{avg}

SETTING

\sigma_\mathrm{separable} = \frac{1}{2\sqrt{M}N\sqrt{1+\frac{1}{N}}}
\sigma_\mathrm{entangled} = \frac{1}{2MN\sqrt{1+\frac{1}{MN}}}
\sigma_\mathrm{SQL} = \frac{1}{2\sqrt{MN}}

sensitivity  \(\sigma \equiv 1/SNR\)

- minimum resolvable phase shift

HEISENBERG SCALING IN PROBE ENERGY AND # OF SITES/SAMPLES

With losses,
Heisenberg scaling disappears but sensitivity gain remains

Realistic (lossy) situation

\sigma_\mathrm{separable} = \frac{1}{2\sqrt{M}N} \sqrt{\frac{N(1-\eta)+\frac{\eta}{2}(1+\sqrt{1+4N(1-\eta)})}{1+\eta/N}}
\sigma_\mathrm{entangled} = \frac{1}{2MN} \sqrt{\frac{MN(1-\eta)+\frac{\eta}{2}(1+\sqrt{1+4N(1-\eta)})}{1+\eta/N}}

For optimal balance between squeezed and coherent photons:

Experiment

\sigma \equiv \frac{1}{SNR} = \frac{\sqrt{\langle\Delta \hat P^2_\mathrm{avg} \rangle}}{|\partial \langle \hat P_\mathrm{avg}\rangle /\partial\phi_\mathrm{avg}|}

Measured sensitivities

\sigma \equiv \frac{1}{SNR} = \frac{\sqrt{\langle\Delta \hat P^2_\mathrm{avg} \rangle}}{|\partial \langle \hat P_\mathrm{avg}\rangle /\partial\phi_\mathrm{avg}|}

Measured sensitivities

\mu=\frac{N_\mathrm{sqz}}{N_\mathrm{total}}

Optimised photon number balance

single phase estimation with squeezed vacuum

Single phase sensing - improving sensitivity

\sigma = \frac{1}{2N} \sqrt{\frac{N}{1+N}}
N\sim\langle\hat n\rangle=\sinh^2r+|\alpha|^2

estimator:

\hat\phi\propto\langle \hat P\rangle

sensitivity:

photons per probe:

displaced
squeezing

squeezed
vacuum

\sigma = \infty
N\sim\langle\hat n\rangle=\sinh^2r

estimator:

\hat\phi\propto\langle \hat P\rangle

sensitivity:

photons per probe:

\hat\phi\propto\langle \hat P^2\rangle
\sigma = \frac{1}{\sqrt{8}\sqrt{N^2+N}}

Jens AH Nielsen

Comparison with Noon states

Comparison with Noon states

\frac{1}{\sqrt{2}}(|N0\rangle+|0N\rangle)

Comparison with Noon states

Experiment

Experiment

P(\phi|\{P_i\})

Bayesian updating of the likelihood of \(\phi\):

- Estimate is \(\hat\phi = \text{arg max }P(\phi|\{P_i\})\),

- Sensitivity is \(\sigma = \sqrt{\text{Var }P(\phi|\{P_i\})}\)

Scaling of the sensitivity

demo of the "deterministic" in the title 

Applying a weak 3 kHz phase modulation,

we recover this signal in the recorded trace and spectrum

Learning a random displacement channel

(work in progress)

New scenario

\Lambda
\hat\rho
\Lambda(\hat\rho)
\Lambda(\hat\rho) = \int d^{2n}\alpha \ p(\alpha) \hat{D}(\alpha) \hat\rho \hat D^\dagger(\alpha)
\alpha\in\mathbb{C}^n
p(\alpha) = \delta(\alpha)

Channel: 

Dynamics: 

Goal: 

Small phase shift (\(\approx\) p-displacement) on \(n\) modes

Static - can be probed repeatedly

Estimate average phase shift

Distributed sensing

x- AND p-displacements on \(n\) modes

Random - varies shot to shot, distribution \(p(\alpha)\) 

Learn \(p(\alpha)\)

Channel: 

Dynamics: 

Goal: 

Channel learning

\Lambda
\hat\rho
\Lambda(\hat\rho)
\Lambda(\hat\rho) = \int d^{2n}\alpha \ p(\alpha) \hat{D}(\alpha) \hat\rho \hat D^\dagger(\alpha)
\alpha\in\mathbb{C}^n

x- AND p-displacements on \(n\) modes

Random - varies shot to shot, distribution \(p(\alpha)\) 

Learn \(p(\alpha)\)

Channel: 

Dynamics: 

Goal: 

Channel learning

\alpha
\hat{x}
\hat{p}

EPR state

\hat{D}(\alpha)

← Squeezed probes are          no longer very useful

Take inspiration from        dense coding →

New scenario

Random displacement Channel learning

Random displacement Channel learning

\Lambda(\hat\rho) = \int d^{2n}\alpha \ p(\alpha) \hat{D}(\alpha) \hat\rho \hat D^\dagger(\alpha)
= \frac{1}{\pi^n}\int d^{2n}\beta \ \lambda(\beta) \text{Tr}[ \hat\rho \hat{D}(\beta)] \hat D^\dagger(\beta)
\lambda(\beta) = \int d^{2n}\alpha\ p(\alpha) e^{\alpha^\dagger\beta-\beta^\dagger\alpha}

Alternative description in terms of \(p\)'s characteristic function \(\lambda\):

Large \(\beta\) values ⇒ fast ripples in \(p(\alpha)\)

Random displacement Channel learning

\lambda(\beta) = \int d^{2n}\alpha\ p(\alpha) e^{\alpha^\dagger\beta-\beta^\dagger\alpha}

Aim:

Sample the channel \(N\) times, obtaining \(n\)-mode samples \(\{\zeta_i\}\),

after which an estimate \(\tilde\lambda(\beta)\) can be obtained with sufficiently low error for any \(\beta\) within a range \(|\beta|^2\le \kappa n\).

For the entangled scheme, an unbiased estimate is

\zeta_1, \ldots, \zeta_N
\tilde\lambda(\beta) = e^{e^{-2r}|\beta|^2} \tfrac{1}{N} \sum_{i=1}^{N} e^{\zeta_i^\dagger\beta-\beta^\dagger\zeta_i}

\(e^{2e^{-2r}|\beta|^2} \approx 5\cdot10^8\) for \(|\beta|^2=10\) and \(r=0\), but \(\approx 7\) for \(r=1.15\) (10 dB squeezing)

Random displacement Channel learning

Random displacement Channel learning

implementation

EPR state in the H/V basis,

n modes separated in time

Displacement

implementation

implementation

\(n\) modes consecutive in time

Each mode: 1 µs long, 1 MHz bandwidth around 7 MHz sideband

\alpha_R^{(1)}
\alpha_R^{(2)}
\alpha_R^{(3)}
\alpha_I^{(1)}
\alpha_I^{(2)}
\alpha_I^{(3)}

Example:

one random sample for \(n=3\)

Simulation

success probability of

estimating \(\lambda(\beta)\) with error <0.2

for randomly sampled \(\beta\)

\(\lambda(\beta)\) estimation errors

· mean

× 2/3 quantile

classical

entangled

Preliminary results

Well-calibrated displacements over wide range in phase space

without entanglement

with entanglement

sometimes cross-talk

between IM and PM

Preliminary results

Very first attempt at learning a random \(\Lambda\) this Monday

- not successful, but we can see what to fix

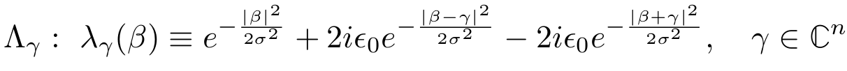
"3-peak channel":

Here, \(\gamma = \frac{1}{\sqrt{2}}(1,1,\ldots,1)\)

diagonal slice through 40-dim \(\beta\)-space

Our goal

1. Show accurate reconstruction of an \(n\) mode channel, much improved by squeezing

2. Show scaling advantage through a hypothesis testing game:
     - Alice prepares a channel for Bob, choosing with equal probability between

         a) a symmetric Gaussian

         b) a 3-peak channel with a randomly chosen \(\gamma\)  (location of side-peaks)

     - Bob learns the channel, after which Alice provides him the value of \(\gamma\);

        Bob must now guess whether the channel was a) or b)

Zhenghao Liu

Jens AH Nielsen

Emil Østergaard

Romain Brunel

Oscar Boronat

Axel Bregnsbo

Ulrik Andersen

The team

Experiment

Sensing and learning in phase space with squeezed light

By Jonas Neergaard-Nielsen

Sensing and learning in phase space with squeezed light

  • 432