Johara Meyer & Catherina Bley

Eine Präsentation von
- Was ist Pi?
- Entdeckung von Pi
- Berechnungsmöglichkeiten
- Anwendung
Gliederung

Was ist Pi ?
PIE?
X
3.1415926535897932384626433832795028841971693993751058209749445923078164062862089986280348253421170679821480865132823066470938446095505822317253594081284811174502841027019385211055596446229489549303819644288109756659334461284756482337867831652712019091456485669234603486104543266482133936072602491412737245870066063155881748815209209628292540917153643678925903600113305305488204665213841469519415116094330572703657595919530921861173819326117931051185480744623799627495673518857527248912279381830119491298336733624406566430860213949463952247371907021798609437027705392171762931767523846748184676694051320005681271452635608277857713427577896091736371787214684409012249534301465495853710507922796892589235420199561121290219608640344181598136297747713099605187072113499999983729780499510597317328160963185950244594553469083026425223082533446850352619311881710100031378387528865875332083814206171776691473035982534904287554687311595628638823537875937519577818577805321712268066130019278766111959092164201989 ...
𝝅
Was ist Pi ?
Umfang /
Durchmesser
= 3.141592...

Entdeckung von Pi
Archimedes
Die Babylonier

ANNÄHERUNG DURCH VIELECKE
3 + 10 / 71 < 𝝅 < 3 + 10 / 70


COOL GUY

Entdeckung von Pi
Archimedes
Die Babylonier
3 + 10 / 70 < 𝝅 > 3 + 10 / 71
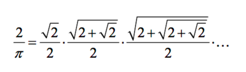
François Viète




Gottfried Wilhelm Leibniz


John Machin

Einführung des
Computers
13 300 000 000
Nachkommastellen sind heute bekannt
Anwendungen von Pi
Der Umfang eines Kreises : 2𝝅 · r
Die Fläche eines Kreises : 𝝅 · r²
Das Volumen einer Kugel : 4/3𝝅 · r³
Der Flächeninhalt einer Kugel : 4𝝅 · r²

Fun Facts
14
März
INTERNATIONALER
PI-TAG
Fun Facts

HIROYUKI GOTO schaffte es sich die ersten 42.195 Nachkommastellen zu merken und vorzutragen.
VIELEN DANK FÜR
IHRE AUFMERKSAMKEIT!

https://www.youtube.com/watch?v=2_yMRGF5DCI
https://www.vismath.eu/info/themen/pi/
http://matheguru.com/allgemein/230-kreiszahl-pi.html
http://3.141592653589793238462643383279502884197169399375105820974944592.eu/
Quellen
deck
By joharameyer
deck
- 479