A Compressive Light Field Projection System
Matthew Hirsch & Gordon Wetzstein
Ramesh Raskar
MIT Media Lab - Camera Culture Group
SIGGRAPH 2014
CIS 660 Presentation by Kai Ninomiya
University of Pennsylvania
Overview
- A glasses-free 3D projector
- Prior work
- 3D glasses, Nintendo 3DS, light field projection
- Topics & Algorithms
- Light field projection
- Compression
- 2D: Superresolution & HDR Projection
- Evaluation & Summary
Prior technologies
What would this replace?
1889: Anaglyphic & 1936: Polarized 3D Glasses
✔ Inexpensive
✔ High resolution
✗ Limited color reproduction
✗ Cumbersome
✗ 2 fixed viewpoints - no parallax


image credit: (a) nerdreactor.com; (b) (c) science.howstuffworks.com

1922: Active Shutter Glasses
✗ Relatively expensive
✔ High resolution
✔ Good color reproduction
✗ Very cumbersome
✗ 2 fixed viewpoints - no parallax


image credit: (a) rtings.com; (b) commons.wikimedia.org
1901: Parallax Barriers & Lenticular Lenses
✗ Relatively expensive
✔ Fairly high resolution
✔ Good color reproduction
✔ Autostereoscopic (no glasses)
✗ Few fixed viewpoints - no parallax


image credit: (a) (b) commons.wikimedia.org
1940: Light Field Projection (Prior Systems)
✗ Very expensive & complex
✗ Reduced resolution
✔ (Sometimes) good color reproduction
✔ Autostereoscopic (no glasses)
✔ Many viewpoints - allows parallax


image credit: (a) National Archives of the Netherlands via Walter Funk, "History of autostereoscopic cinema"; (b) Holografika
Now: Compressive Light Field Projection
✔ Less complex - passive screen
✔ Better resolution
✗ (Currently) no color reproduction
✔ Autostereoscopic (no glasses)
✔ Many viewpoints - allows parallax


Results
What it does and why it's cool
Demos

Demos

Demos

Stats
- 5° horizontal field of view
- No color (currently)
- Demos are 3 grayscale images composited
- 8 input scene views
- Compressed
Light Fields
& How can we make them?
Standard Projector
- Produces a uniform 2D light field
- Projected onto a diffuse screen
- View independent: discard angles
Naive Light Field Synthesis
- Start with standard projector
- Change screen to prevent diffusion
- View-dependent: maintain angle
Naive Light Field Synthesis
- At each sub-frame, project few rays per pixel
- Emit pixels onto spatial light modulator (SLM)
- Severe resolution/brightness reduction
unless using many projectors

t=1 t=2 t=3
Naive Light Field Synthesis

Getting Better Results
With less hardware
Angle Expansion
- Want to use one projector
- Projector output angle is small
- Won't cover area of audience
- Expand the angle!
- Keplerian telescope lensing


* Ignoring the math here because it isn't very interesting
Light Field Compression
- Finally, the "compressive" part of the title
- Reduce projected light loss: optical "compression"
- Reduce data bandwidth: data "compression"
- Basic idea: reuse light for multiple angles

Light Field Compression
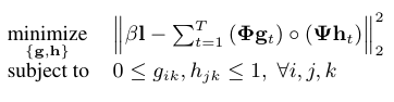
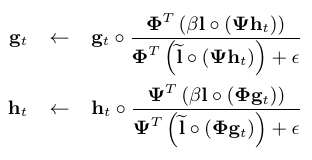
- Optimization solving
- Find the best sub-frame set of light fields to project
- Final sub-frame light field is a convolution of SLMs
- Averaged over a frame (due to persistence of vision)
- And minimize against the desired light field


* Capital Greek letters are matrix forms of the functions from before
On Conventional Screens:
2D Superresolution
- Optimize a convolution again
- Result: Higher effective resolution
than either individual SLM

On Conventional Screens:
2D High Dynamic Range
- Use both SLMs to control contrast
- Gives greater contrast range
- That's about it

Evaluation & Summary
TL;DR: I thought it was pretty cool.
The Paper Itself
- Generally well-written
- A lot of great background information in Related Work
- Not much background needed to understand
- Very little (but probably enough) math
- Makes it easier to work through the paper
- Excluded: pretty much just optimization algorithms
- Some details in the paper supplement
The method/results
- Really cool!
- The actual contributions:
- Passive screen
- Application of compression to that system
- Demonstration of superresolution
Questions for the Authors
- The biggest question
- Why is it monochromatic?
- Not explained well
- How constraining is this really?
- This can be solved with 3 projectors...
but is there a better way?
- Why is it monochromatic?
- What is the computation time for the compression solve?
- Seems good for theaters, but the shape is inconvenient
- Requires rear projection
- Any way around this?
Siggraph = very yes
- Advances the state of the art
- Higher quality
- More practical
- Further refinements needed, obviously
- But could be very marketable!
A Compressive Light Field Projection System
By Kai Ninomiya
A Compressive Light Field Projection System
- 468