Hidden diversity of intermediate redshift galaxies
Katarzyna Małek*, Agnieszka Pollo, Małgorzata Siudek
National Centre for Nuclear Research, Poland
Laboratoire d’Astrophysique de Marseille, France
From galaxies to cosmology with large spectroscopic surveys, Marseille, 4-8 July 2022

Outline
- too short overview of the VIPERS project,
- classification if z~1 (and 0),
- sub-classes vs environment - a hint for different evolutionary paths.

K.Małek, Marseille, 4-8 July 2022



K.Małek, Marseille, 4-8 July 2022
the intermediate redshift equivalent of state-of-the-art local surveys

completed Large ESO Programme, (2008-2016, PI: L. Guzzo)
- designed to investigate the spatial distribution of galaxies at z~1 (i<22.5, z>0.5 colour--colour pre-selection),
- built of W1 and 4 CFHTLS-Wide fields (23.5 \(deg\raisebox{0.25em}{2}\)),
- spec-z for nearly 90 000 (!) galaxies.

Guzzo et al. 2014
based on VVDS data:
z>0.5, z<0.5

Scodeggio et al. 2016, PDR-2


K.Małek, Marseille, 4-8 July 2022
Guzzo et al. 2013, Garilli et al. 2014, Scodeggio et al. 2018
the intermediate redshift equivalent of state-of-the-art local surveys


K.Małek, Marseille, 4-8 July 2022
the intermediate redshift equivalent of state-of-the-art local surveys



We are able to trace the the evolution from the structures observed at z~0.7 to the well-known sequence in the local Universe.

K.Małek, Marseille, 4-8 July 2022
the intermediate redshift equivalent of state-of-the-art local surveys

The spectra were collected by VIMOS spectrograph
(LR Red grism, \(\lambda\): 5,500-9,500\(\mathring{A}\), R~220).
Sccodeggio et al. 2016


Davidzon et al. 2013
Classification if z~1

K.Małek, Marseille, 4-8 July 2022
classification if z~1,
supervised

galaxies, AGNs, stars
KM et al. 2013




K.Małek, Marseille, 4-8 July 2022

KM+2013 - Support Vector Machine (SVM), a supervised classifier applied for AGN/star/galaxy selection based on available photometry (ugriz+ )


galaxies, AGNs, stars
KM et al. 2013

ugri
ugri+NIR
classification if z~1,
supervised
K.Małek, Marseille, 4-8 July 2022

classification if z~1,
Is the galaxy/star/AGN selection enough to trace evolutionary paths?
K.Małek, Marseille, 4-8 July 2022

classification if z~1,
Is the galaxy/star/AGN selection enough to trace evolutionary paths?
K.Małek, Marseille, 4-8 July 2022

classification if z~1,
Is the galaxy/star/AGN selection enough to trace evolutionary paths?
Can we divide z~1 galaxies into smaller subsamples (smaller than red/blue/green)?
K.Małek, Marseille, 4-8 July 2022

classification if z~1,
Is the galaxy/star/AGN selection enough to trace evolutionary paths?
Can we divide z~1 galaxies into smaller subsamples (smaller than red/blue/green)?
K.Małek, Marseille, 4-8 July 2022

classification if z~1, unsupervised Fisher Expectation-Maximisation method
Unsupervised Fisher Expectation-Maximisation classification of VIPERS galaxies using a 13D feature space (rest-frame UV-optical-NIR colours, no direct spectroscopic information zspec for absolute magnitudes).

Bouveyron & Brunet 2011
Bouveyron et al. 2012
The bimodality in colour-colour space forces a similar division in a multi-dimensional space.

Davidzon et al. 2013
K.Małek, Marseille, 4-8 July 2022

How many galaxy populations can be blindly selected at z~1?
classification if z~1, unsupervised Fisher Expectation-Maximisation method



Siudek,KM,Pollo et al. 2013
K.Małek, Marseille, 4-8 July 2022

classification if z~1, unsupervised Fisher Expectation-Maximisation method
Siudek,KM,Pollo et al. 2018, but also Turner et al. 2021 for z~0
11 subclasses well separated in
a multidimensional photometric space.


Davidzon et al. 2013
early-type
(red E and Sa)
early spiral
late-spiral
irregular or starburst
K.Małek, Marseille, 4-8 July 2022

classification if z~1, unsupervised Fisher Expectation-Maximisation method
Siudek,KM,Pollo et al. 2018
Eleven subclasses well separated in a multiD
PHOTOMETRIC and SPECTROSCOPIC space


Subclasses of red/green/blue galaxies vs environment
K.Małek, Marseille, 4-8 July 2022

Does the environment matter?
~32k galaxies involved in this study
Siudek,KM,Pollo et al. 2022

δ (local density contrast)
Cucciati et al. 2017):
- Volume-limited tracers MB < 20.4 − z,
- cylinders (±1000km/s) and the radius (5th NN),
- scales between 2 and 6 Mpc/h.

K.Małek, Marseille, 4-8 July 2022

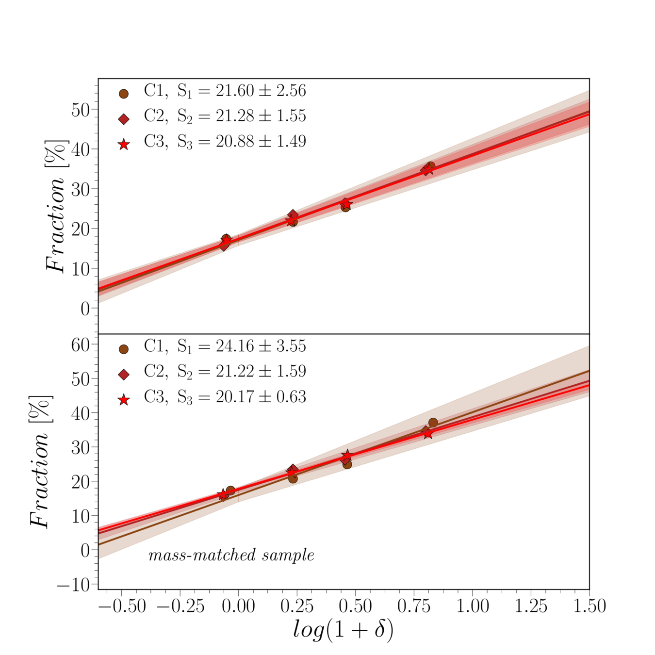
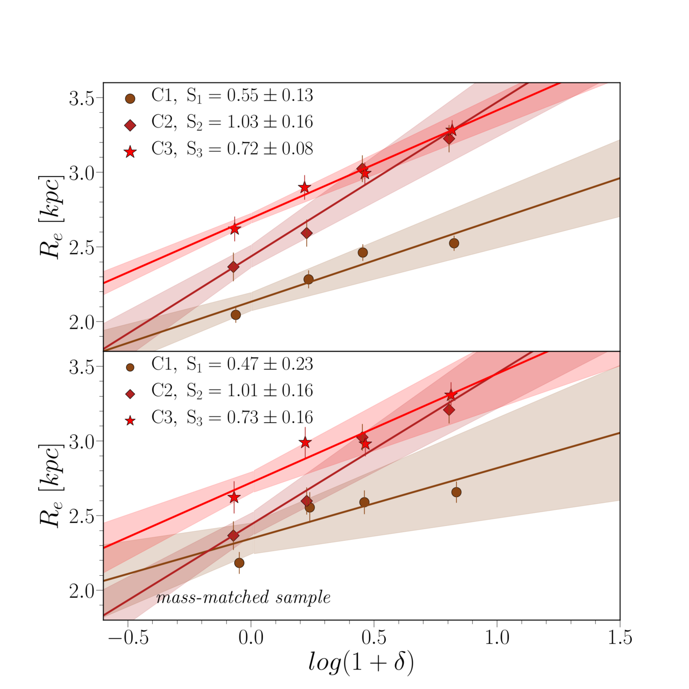
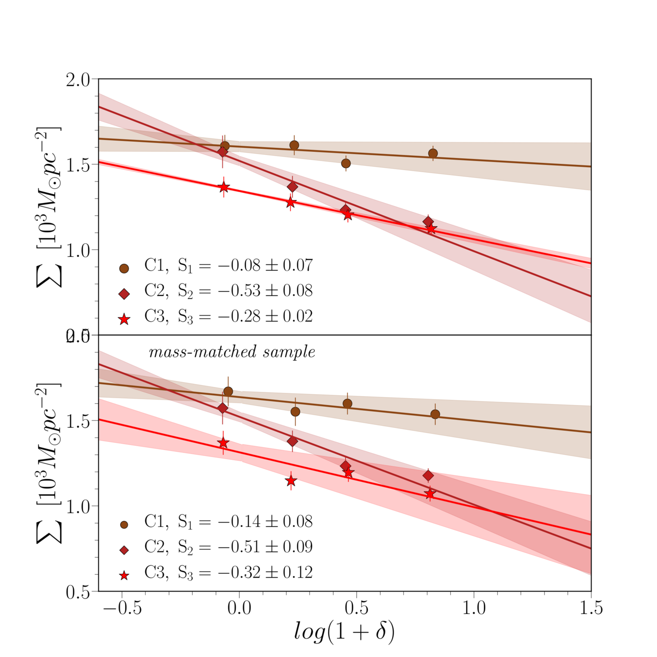
Are all red subclasses similar?
Siudek,KM,Pollo et al. 2022


C1: compact
independently or mass driven
C2&C3
mass+enviroment-driven
the same preference for denser environments, but:
-
their sizes differ and correlate with the local environment in different ways:
-
C3 suggests dry merger activity,
-
C1 quenched mostly as a result of internal processes.
-
effective radius

K.Małek, Marseille, 4-8 July 2022

Are all red subclasses similar? NOT
Siudek,KM,Pollo et al. 2022




More about galaxies from C1/C2 classes you can find during Krzysztof Lisiecki talk (red nuggets at the intermediate z)
K.Małek, Marseille, 4-8 July 2022

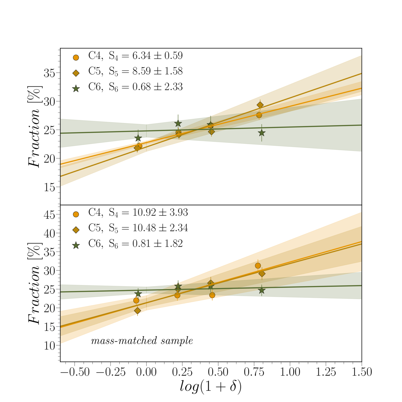
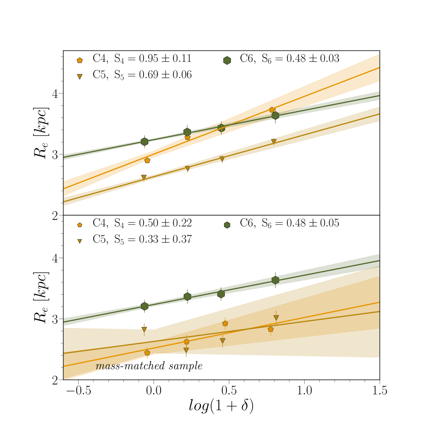
Are the green subclasses similar boring?
Siudek,KM,Pollo et al. 2022




only ~600 galaxies
K.Małek, Marseille, 4-8 July 2022

Siudek,KM,Pollo et al. 2022
C4-C6:
low mass green galaxies behave like passive galaxies; high mass ones - are like active galaxies
High-mass (log(Mstar/M)>10.6) green galaxies:
the positive fraction-density relation suggesting that environmental quenching is more important in the evolution of high-mass green galaxies.

passive-like
Are the green subclasses similar boring? NOT

K.Małek, Marseille, 4-8 July 2022

Siudek,KM,Pollo et al. 2022
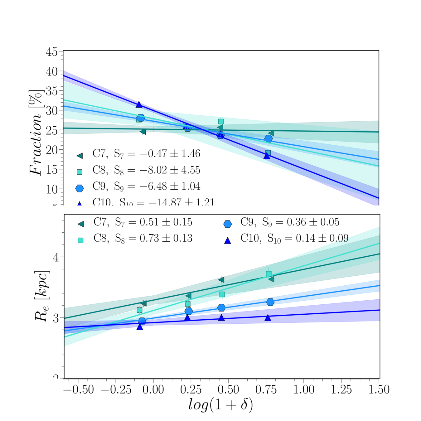
C10:
the smallest & the least massive follows the downsizing trend (slow accretion of surrounding gas)
The downsizing is driven mainly by class of the smallest and the least-massive galaxies (C10). The other blue subclasses may be a subject of a mixture of mass- & environment-driven evolution.


Are all blue cloud galaxies
similar?

~9200 galaxies
K.Małek, Marseille, 4-8 July 2022

Siudek,KM,Pollo et al. 2022
C10:
the smallest & the least massive follows the downsizing trend (slow accretion of surrounding gas)
The downsizing is driven mainly by class of the smallest and the least-massive galaxies (C10). The other blue subclasses may be a subject of a mixture of mass- & environment-driven evolution.


Are all blue cloud galaxies
similar? Difficult to say ..

~9200 galaxies
K.Małek, Marseille, 4-8 July 2022

Does the environment matter? YES
Siudek,KM,Pollo et al. 2022
Detailed FEM classification allows for deeper insight into the evolution-environment relations and environmental paths.
-
Red compact galaxies are formed in-situ. Red large galaxies experienced merger processes,
-
Strong dependence of green galaxies on the transition mass (for z~0.7 log(Mstar/M) = 10.6),
-
The downsizing trend for blue galaxies is driven mostly by one blue subclass gathering the smallest and the least massive galaxies.
Yes, the enviroment matters !




Thank you for your attention
main properties of the FEM classes



Davidzon et al. 2013




K.Małek, Marseille, 4-8 July 2022
the intermediate redshift equivalent of state-of-the-art local surveys

The spectra were collected by VIMOS spectrograph
(LR Red grism, \(\lambda\): 5,500-9,500\(\mathring{A}\), R~220).

Sccodeggio et al. 2016

VIPERSHidden diversity of intermediate redshift galaxies
By Kasia Malek
VIPERSHidden diversity of intermediate redshift galaxies
- 245