Improved Heading Estimation for Smartphone-Based Indoor Positioning System
論文輪講
2015/6/26
相馬啓佑
- Wonho Kang:Korea Advanced Institute of Science and Technology (KAIST), Daejeon, Korea
- Seongho Nam:同上
- Youngnam Han:同上
- Sookjin Lee:Electronics and Telecommunications Research Institute (ETRI), Daejeon, Korea
Author
スマホを用いた屋内位置推定のための方向推定の改善
Improved Heading Estimation for Smartphone-Based Indoor Positioning System
PIMRC (2012)
2012 IEEE 23rd International Symposium on Personal, Indoor and Mobile Radio Communications

目的
スマホ内のセンサだけを用いて位置推定を行う
スマホを持っている人がどちらを向いているのかを推定することにより位置推定精度の向上を図る
はじめに
GPSを利用したがあるがこれらは主に屋外での用途に限定されている。
一方で人々は屋内で過ごす時間の方が長くなってきている(70%が屋内)
そのため、屋内での位置推定の必要性が高くなってきている。
WiFi強度を利用した位置推定方法(WPS)があるがこれは地図情報と照らし合わせなければ精度が低い、またバッテリーの消費量が多い。
そこで、スマホ内のセンサだけを用いて位置推定を行う方法を提案する。
提案システムのアルゴリズム

PDR
(Pedestrian Dead Reckoning)
PDRは屋内位置推定でよく使われている手法で外部からの追加情報なしに動いた距離を推定することができる。
しかし、今までは体にセンサをつける必要があったがスマホでそれを代用することでコストを削減することができる。
また、バッテリー消費量も少ないため良い方法である
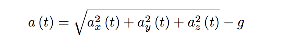
1. Step Detection


3軸加速度センサを使って一歩を計測
2. Step Length Estimation
一歩の距離を推定する


d:distance
3. Heading Estimation
向いている方向を推定


4. Moving Position and Distance
位置推定と距離推定



4. Moving Position and Distance



4. Moving Position and Distance




結論
本論文で、私たちはスマホを基にした屋内位置推定システムを提案した。また、それらの実証実験を行った。
今後、我々のシステムと他のシステムを組み合わせることによりさらに精度の高い屋内位置推定技術を生み出すことができるだろう
論文輪講6/26
By Keisuke Soma
論文輪講6/26
- 322