The formative effects of assessment
From the laboratory to the classroom

A little about me
Kit Double


How confident are you that your previous answer was correct?

Experiment 1
Participants (n = 69) performed Raven’s Progressive Matrices either with or without confidence ratings
Participants who performed confidence ratings did significantly better than the control group

Experiment 2
Participants rated their confidence in their reasoning abilities using a self-report questionnaire then performed RPM (either with or without confidence ratings) as well as a battery of cognitive tasks

There was a significant reasoning self-confidence X group interaction (even after performance on a cognitive battery was controlled for)
I'm interested in
Metacognition
Formative Assessment
Confidence



Formative Assessment
Practice in a classroom is formative to the extent that evidence about student achievement is elicited, interpreted, and used by teachers, learners, or their peers, to make decisions about the next steps in instruction that are likely to be better, or better founded, than the decisions they would have taken in the absence of the evidence that was elicited
William (2011)
Formative Assessment

Self-assessment


Peer-assessment
Testing
desk : lamp
carpet : sign
SELF-ASSESSMENT
How likely is it that you will recall this pair on a test?

desk : lamp
SELF-ASSESSMENT

We base our self-assessment on the relatedness of the cue
SELF-ASSESSMENT
This is a sensible thing to do because related pairs are much easier to remember
So what should happen if we base our self-assessment on something less sensible?
SELF-ASSESSMENT
desk : lamp
carpet : rug

SELF-ASSESSMENT

SELF-ASSESSMENT
TESTING
Testing Effect
Testing material improves recall compared to studying


Text
TESTING
Pre-testing Effect
- Testing novel material before it is taught improves learning
| What is the present-day name of the land that Columbus called “San Salvador” in 149? |
| What is the present-day name of the land that Columbus called “San Salvador” in 149? |
| Bahamas |
Framing Effects
- Conceptual vs. factual
- Errors as learning opportunities
- Not impair performance on untested material
TESTING
Individual Differences
- Gender
- Age
- Self-efficacy
TESTING
Peer-assessment
- Reviewer vs. reviewee
- Source knowledge
Peer-assessment
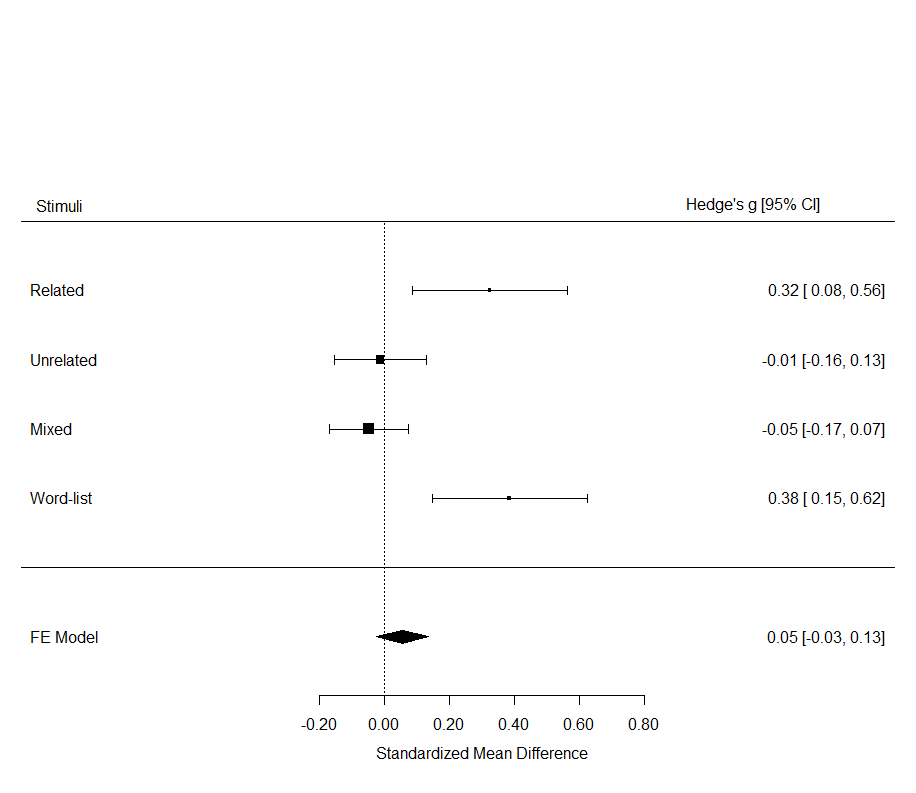
The Impact of Peer Assessment on Academic Performance: A Meta-analysis of (Quasi) Experimental Studies
Methods
- Experiments
- Meta-analysis
- Mulit-level modelling





Emotional intelligence
Mental Flexibility
Measuring Mental Ability
- Micro-simulations
- Cognitive reflection

- Dynamic testing
- Mental creativity
- Causal illusions
- EI and GPA
- EI pathways/mediation
- EI and narcissism/dark triad
Reading Interventions
- Video games and dyslexia
- Metacognitive strategy training


2019 Brown Bag
By kitdouble
2019 Brown Bag
- 351