Misaligned disks induced by infall

Michael Küffmeier
C. P. Dullemond, F. Goicovic, S. Reißl





HL Tau

6 years ago:
dust rings thrill the world
Credit: ALMA (ESO/NAOJ/NRAO)

Credit: Yen et al. 2019

6 years from now:
gaseous streamers mark the crucial link
Stars are born and embedded in large assemblies of gas
Star-disk systems form and are located in different environments provided by Giant Molecular Clouds (Size: 10 - 100 pc)


Credit: ALMA (ESO/NAOJ/NRAO)
Heterogeneous accretion implies late infall
Küffmeier et al.
2017


Observational indication: luminosity bursts
Late infall

AB Aurigae

HD 100546
Credit: Grady+ 1999, Fukagawa+ 2004
Can (late) infall cause misalignment of inner and outer disk?
Credit: Ardila+ 2007

200 au
HD 142527
Credit: Avenhaus+ 2014
Extended arc-like structures can be induced by late infall
(Dullemond, Küffmeier, Goicovic+ 2019, Küffmeier, Goicovic & Dullemond 2020)
Possibility of "second-generation" disk
Shadows due to misaligned inner and outer disk
Credit: Marino+ 2015

Simulate cloudlet infall onto disk
AREPO, pure hydro
isothermal gas
vary infalling angle
vary rotation (prograde, retrograde)
Küffmeier, Dullemond, Reißl, Goicovic submitted


Outer disk forms around inner disk

Küffmeier+ subm
consistent with star formation simulations by Bate '18

Prograde vs. retrograde infall

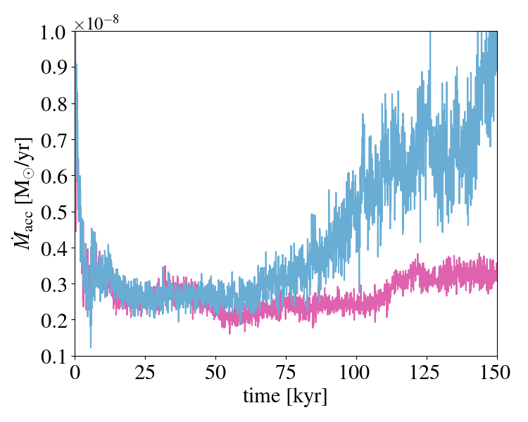
Retrograde infall causes:
- counter-rotating inner and outer disk
- shrinking of inner disk
- enhanced accretion

- larger and deeper gap between disks
see also Vorobyov+ 2016

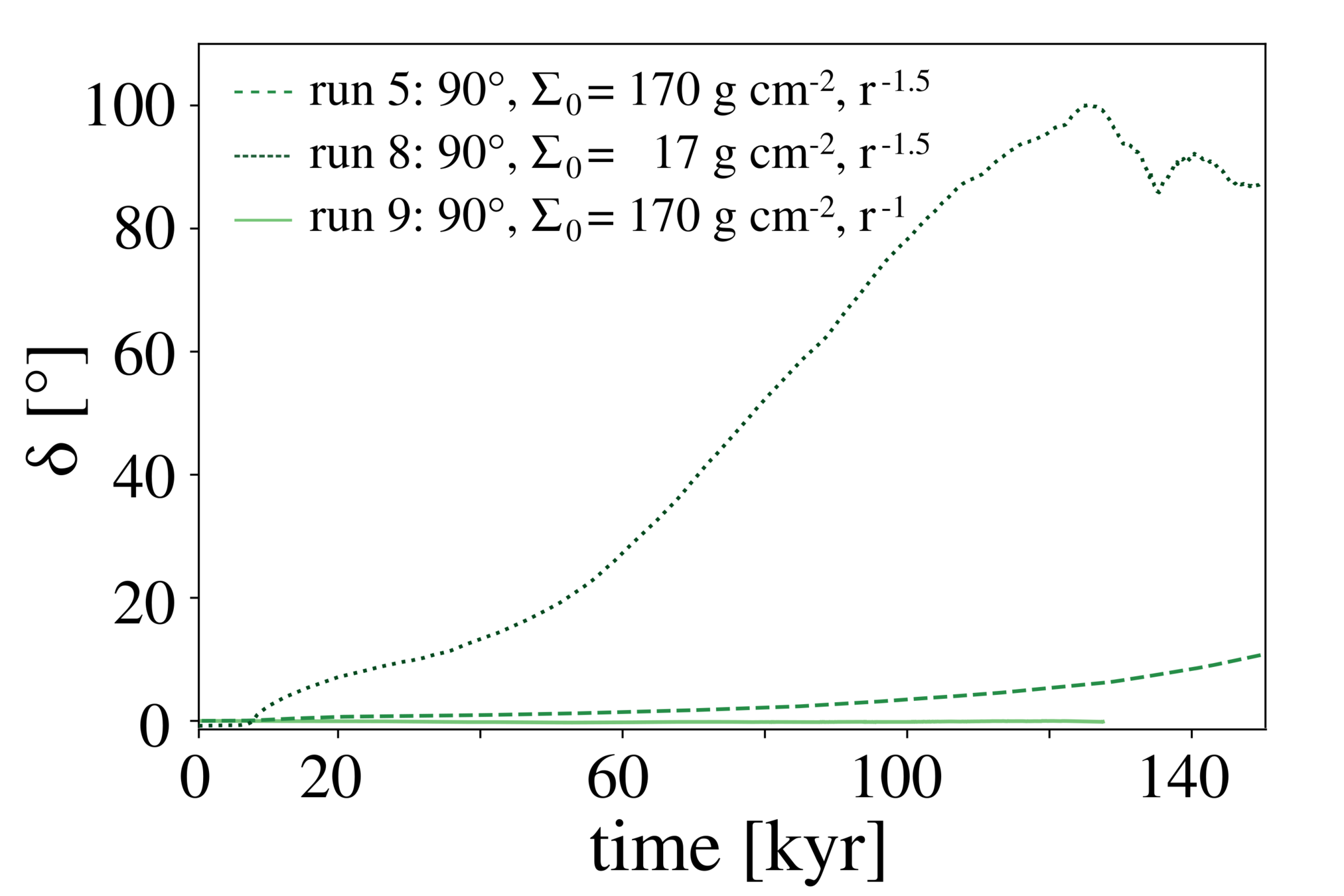
Effect of infall angle on disk

Formation of misaligned configuration

Observable as shadows in outer disk

Ginski et al. 2021
Disk evolution: eccentricity

prograde, 0°
Light to dark: retrograde infall with increasing inclination
- mild eccentricity in inner disk (up to ~0.1)
inner
outer
- larger eccentricities in outer disk (0.2 to 0.4)
Infall triggers:
=> probably measurable with CO channel maps:
a test of infall scenario

Inner disk orientation



Disclaimer:
We are not saying that all shadows are due to misaligned infall!
In some cases shadows have already been well explained by external companions and/or inner planets (e.g.: HD 100453 Gonzalez+ '20/Nealon+ '20 or work by Zhu '19 on planet-induced misalignment)
Infall mechanism in perspective
But we need to think out of the disk:
significant fraction of final mass might accrete later through inflow
(Pelkonen et al. 2020)


Pineda et al. 2020; see also [BHB2007] 1 (Alves et al. 2020)
Küffmeier et al. 2019

Zoom-in on embedded stars

Küffmeier et al.
2019

Küffmeier et al. 2018

Küffmeier, Reißl et al. 2020
bridge structure similar to IRAS 16293--2422 (e.g. Sadavoy+ 2018, van der Wiel+ 2019, Maureira+ 2020)
~1500 AU
realistic initial conditions!
Take-away points
In infall-induced misaligned systems, the outer disk is expected to have higher eccentricity than the inner disk.

Retrograde infall can cause counter-rotating disks, shrinking of inner disk, formation of gaps (>10 AU) and enhanced accretion.

TBC: zoom-in simulations to consistently account for replenishment of disks through streamers

WIP: study synthetic observations of infall-induced shadows

RGB image of misaligned system forming from infall with 60°
blue (1.66 micron), green (53 micron), red (870 micron); Credit: S. Reißl
StarXiv18012021
By kuffmeier
StarXiv18012021
- 243