Ongoing projects
- Invited contribution for special issue on "Effects of environment and multiplicity on planet formation" (EPJ+, editors: Manara and Lodato) to be submitted asap
- Synthetic polarization maps of massive protostar (Seyfritz, Kuffmeier+ to be submitted before AAS meeting)
- Synthetic polarization maps from pc to 1000 AU scales (Kuffmeier, Woodward & Li) to be submitted shortly after Louis Seyfritz paper
- Constraining probability and
properties of streamers

Disc environment in ab initio simulations


classical accretion history
prestellar core collapses -> envelope falls onto star -> accretion stalls
more common accretion profile
prestellar core collapses -> envelope falls onto star -> star experiences late infall -> accretion continues
SEDs before/after late infall show rejuvenation of star (before infall: Class II; after infall: Class 0/I)
paper to be submitted asap for special issue in EPJ+
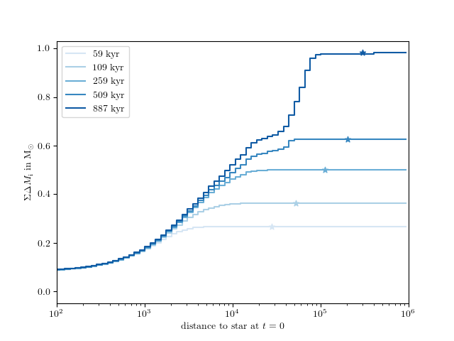
Stealing from a disk
Zoom-in on mass transfer in stellar multiple
Each dot corresponds to a tracer particle of gas.
The color indicates to which star the gas will accrete.
A dot disappears after the gas accreted onto a star.
Parameter study based on collapse simulations of massive protostar

- A clear flip at high column densities (see also Reissl+ 2014)
- Maps for different protostellar stages and grain size distributions
- Paper (Seyfritz, Kuffmeier+) will be submitted before AAS meeting

53 μm
214 μm
Synthetic maps from ~pc to ~1000 au

Hannah Woodward
Küffmeier, Woodward & Li submission soon after Louis' paper






SOFIA HAWC+ and ALMA show the same pattern of magnetic field on molecular cloud scales...
...but beware of higher column densities!
Constraining probabilities of streamers

Hammer projections allow to obtain some statistics of 3D properties
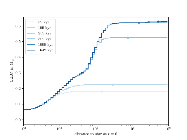
Binary accretion
By kuffmeier
Binary accretion
- 241