Differential Equations
by Karolina Drewnik
A differential equation
is a mathematical equation that relates some function
of one or more variables
with its derivatives.
- Mechanical Systems
- Electrical Circuits
- Population Models
- Newton's Law of Cooling
- Compartmental Analysis
Examples of First-Order Differential Equations
general form
first-order ordinary differential equation


t - independent variable
y(t) - dependent variable
The goal: determine the unknown function y(t) whose derivative satisfies the above condition and which passes through the point

qualitative analysis
of First-Order Ordinary Differential Equations
AUTONOMOUS
NON-AUTONOMOUS




example:
example:
QUALITATIVE ANALYSIS
OF THE AUTONOMOUS ODE



QUALITATIVE ANALYSIS
OF THE NON-AUTONOMOUS ODE



Directly Integrable
First-Order Differential Equations


general solution:
Separable
First-Order Differential Equations


Solution:

Equation of type

Solution:

First step:
Second step:
SEPARABLE METHOD
(to compute y')
Equation of type
Solution:
First step:
Second step:
SEPARABLE METHOD
(to compute y')


Linear
First-Order Differential Equations

Solution:
First step:
Second step:

SEPARABLE METHOD
Bernoulli
First-Order Differential Equations
Solution:
First step:
Second step:
LINEAR METHOD


to obtain

- Mechanical Systems
- Electrical Circuits
- One-Dimensional Free-Fall Motion
Examples of Second-Order Differential Equations
general form
second-order ordinary differential equation
t - independent variable
y(t) - dependent variable
The goal: determine the unknown functions that satisfies the above ordinary differential equation

on some interval

INITIAL CONDITIONS:

Reduction of Order for Problems
of the form

Solution:
Convert

into first-order differential equation



Reduction of Order for Problems
of the form
Solution:
Write





Linear
Second-Order Differential Equations
Solution:

HOMOGENOUS

NONHOMOGENOUS otherwise
HOMOGENOUS
NONHOMOGENOUS


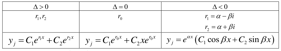
Constant-Coefficient Homogeneous ODE



Solution:



Uniform solution:
The Variation of Parameters Formula

Solution:
1. Find solution like in previous method
2. Use the variation of parameters - change parameters to C1, C2

3. Create system of equations
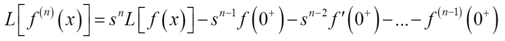
Laplace transform





Solution:

Thank you
Differential Equations
By lubiewarzywa
Differential Equations
- 509