A criatividade e a beleza da matemática
Centro de Ciência e tecnologia
Departamento de Matemática
Prof. Me. Lucas Henrique Viana

Campina Grande
Maio de 2025
Prática no Ensino de Matemática I
Calendário...
Matemática e criatividade?
É possível?
Onde está a criatividade?
Nos exercícios de fixação?
Nos simulados?
Nas fórmulas?
Como você vê essas formas crescendo?
Represente em uma folha de papel.
Que Matemática temos ensinado nas escolas?
Por que tantas pessoas odeiam Matemática?

A Matemática é ensinada de maneiras diferentes dos outros componentes curriculares.


Nem mesmo a Física e a Química são ensinadas das mesmas formas que a Matemática
https://i.pinimg.com/originals/bf/71/d4/bf71d47d606a70e96a6d61c614609b9b.png
https://g1.globo.com/pa/santarem-regiao/noticia/2020/08/05/ufopa-abre-selecao-em-residencia-pedagogica-para-academicos-e-professores-da-educacao-basica.ghtml
A Matemática é considerada como um componente curricular de desempenho

https://gifer.com/en/74MW
Os estudantes acham que estão nas aulas de matemática para executar tarefas.
Especificamente, resolver atividades.

https://pt-static.z-dn.net/files/d99/0069bae08f11195857b91f4f6b35b6d0.png
Segundo Boaler (2018), a "cultura de provas" nos Estados Unidos é a grande responsável por essa visão que os alunos têm sobre a Matemática.
E no Brasil? Há uma cultura de provas?



Em meio a tudo isso, a Matemática vêm sendo compreendida como um componente curricular de respostas rápidas, curtas, sem espaço para reflexão.
https://media1.tenor.com/images/06623af25a7ede5f07cd07498aa79243/tenor.gif?itemid=8911096

Segundo os matemáticos, a Matemática é um componente curricular estético, criativo e belo.

Segundo Boaler (2018), na apresentação da Tese de Doutorado de Jenya Sapyr, no campo da Matemática pura, na Universidade de Stanford, a aluna apresentou uma Matemática visual, com criatividade e conexões, além de incertezas.
A Matemática é um fenômeno cultural, rico em ideias, conexões e relações, desenvolvidos para que as pessoas compreendam o mundo.



https://geniodamatematica.com.br/historia-da-matematica-2/
http://portaldoprofessor.mec.gov.br/fichaTecnicaAula.html?aula=21387
https://educa.ibge.gov.br/professores/educa-recursos/20773-tipos-de-graficos-no-ensino.html
https://abordandoamatematica.wordpress.com/2015/09/24/a-matematica-na-construcao-civil/

A própria natureza por si só contempla muita Matemática, construindo estruturas incríveis, com padrões que fascinam matemáticos há séculos.

Segundo Reuben Hersh (1999), apud. Boaler (2018), a Matemática se encontra seriamente deturpada nas salas de aula.
O foco excessivo em procedimentos e técnicas não tem levado os alunos a desenvolverem conhecimentos suficientes para lidar com a Matemática no dia a dia.
Os alunos passam milhares de horas em aula aprendendo conjuntos de procedimentos e regras que nem sempre usarão em sua vida ou em seu trabalho.
Conrad Wolfram (2010) propôs o trabalho em Matemática através de quatro etapas:
1. Propor uma questão;
2. Passar da vida real para um modelo matemático;
3. Realizar um cálculo;
4. Passar do modelo para a vida real, para ver se a pergunta original foi respondida;
1. Propor uma questão;
2. Passar da vida real para um modelo matemático;
3. Realizar um cálculo;
4. Passar do modelo para a vida real, para ver se a pergunta original foi respondida;
A Matemática escolar muito se prende a esta etapa.
Text
Segundo Wolfram (2010), o mercado não demanda mais pessoas que façam cálculos, mas que façam boas perguntas, analisem modelos, analisem e interpretem resultados.


Segundo a revista Forbes (2019), as dez habilidades mais importantes em 2020 seriam:
1. Literacia de dados
2. Pensamento Crítico
3. Conhecimentos tecnológicos
4. Adaptabilidade e flexiilidade
5. Criatividade
6. Inteligência emocional
7. Inteligência cultural e de diversidade
8. Habilidades de liderança
9. Tomada de decisões complexas
10. Colaboração
Marr, B. The 10+ Most Important Job Skills Every Company Will Be Looking For In 2020. Disponível em: https://www.forbes.com/sites/bernardmarr/2019/10/28/the-10-most-important-job-skills-every-company-will-be-looking-for-in-2020/?sh=5679817f67b6. Acessado em: 28 fev. 2021.
As pessoas acreditam que a Matemática apenas lida com cálculo, e que aqueles que conseguem fazer cálculos com rapidez são os melhores pensadores...

Muitos estudantes que pensam de maneira mais devagar e profunda são levados a acreditar que não são pessoas que nasceram para a Matemática.

Mas o estudo da Matemática, da verdadeira Matemática, não exige respostas rápidas, requer reflexões.
Conclusão

Próxima aula
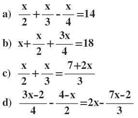
Resolver a seguinte atividade:
BOALER, J. Mentalidades matemáticas: estimulando o potencial dos estudantes por meio da matemática criativa, das mensagens inspiradoras e do ensino inovador. Porto Alegre: Penso, 2018.
HERSH, R. What is mathematics, really? Oxford, UK. Oxford University Press, 1999.
WOLFRAM, C. Ensinando às crianças matemática de verdade com computadores, TED Talks, jul. 2010. Disponível em: https://www.youtube.com/watch?v=60OVlfAUPJg. Acessado em: 27 fev. 2021.
Referências
Prática no Ensino de Mat - Aula 2
By Lucas Henrique Viana
Prática no Ensino de Mat - Aula 2
Segunda aula
- 80