台大財金服務團社課  保險實務

Lectured by Lulalachen

陳泰宇

台大經濟系

 富邦人壽保險股份有限公司

Codementor Inc. Intern

興趣:攝影、旅遊、拍片、Coding

保險分類

保險條款
如何選購?

什麼是保險?

「要保人」把「保費」交付給「保險公司」

「保險公司」在某種情況下把「保險金」還給「受益人」

  • 要保人

  • 被保人

  • 受益人

    • 身故保險金 受益人
    • 生存保險金 受益人
    • 醫療保險金 受益人

保險中最重要的幾個人

保險分類

保險分類

  • 壽險

  • 投資型保險

  • 年金險

  • 意外險
    • 意外身故險

    • 意外醫療險

  • 醫療險

    • 住院醫療險

    • 手術險

    • 癌症險

  • 長期看護險

壽險

(Life Insurance)

壽險是什麼?

當「被保人」身故殘廢時
保險公司依約定給付「受益人」約定保險金額之保險

「保險期間」分類:

「保價金累積方式」分類:

「給付方式」分類:

「收費方式」分類:

定期險、終身險

一般型、利率變動型、投資型

一次領、年金型

月繳、季繳、半年繳、年繳

一般常見壽險分類方式(業務用語)

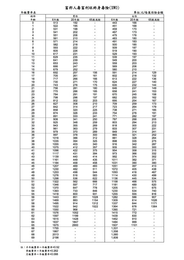
「富邦人壽富利旺終身壽險」為例

保費如何計算?

台灣地區第四回經驗生命表

投資型保險&年金保險

「保險期間」分類:

「保價金累積方式」分類:

「給付方式」分類:

「收費方式」分類:

定期險、終身險

一般型、利率變動型、投資型

一次領、年金型

月繳、季繳、半年繳、年繳

一般常見壽險分類方式(業務用語)

保險也是一種金融商品

投資型 v.s 利變型年金

利變型年金商品

分為兩種:「利變型(終身)壽險」、「利變型年金保險」

投資型商品

分為兩種:「投資型壽險」、「投資型年金」

醫療險

醫療險分為三種

  • 住院醫療險
    • 實支實付型
    • 定額給付型
  • (住院)手術險
  • 防癌險

意外險

什麼是意外?

「非故意」、「外來的」、「突然的」

給付內容?

「死亡給付」、「殘廢給付」

「醫療費用」、「停工給付」

長期看護險

什麼是長期看護險?

規劃退休?老年生活?

什麼叫「準備好可以退休」呢?

退休金三大部分

  1. 生活津貼
  2. 醫療保險金
  3. 長期看護醫療保險金

保單活化

如何閱讀保險條款?

(一)契約撤銷權
(二)保險責任之開始與契約效力停止、恢復及終止事由
(三)保險期間及給付內容
(四)告知義務與契約解除權
(五)保險事故之通知、請求保險金應備文件與協力義務
(六)除外責任及受益權之喪失
(七)保險金額與保險期間之變更
(八)保險單借款
(九)受益人之指定、變更與要保人住所變更通知義務
(十)請求權消滅時效

富邦人壽為例

如何選購?

最少的錢

最多的保障

Contact Info

Facebook : Lulalachen

Cell : 0988 - 231 - 465

Github : github.com/lulalachen

Email : lulalachen@gmail.com

insurance

By Lulala Chen

insurance

  • 580