Presentations
Templates
Features
Teams
Pricing
Log in
Sign up
Log in
Sign up
Menu
MINISHELL 2
Projet de recréation d'un shell avec redirection et pipe
Minishell 1 fonctionnel
Parsing de ma commande
Execution de ma commande
Savoir gérer les redirections
Différentes contraintes
Pour le minishell1
Execution de commandes avec parsing dans le PATH
cd, env, setenv, unsetenv
Pas de Segfault
Pour le parsing de ma commande
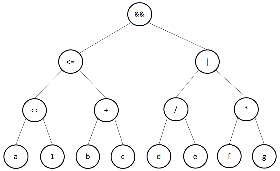
Création récursive d'un AST
Pour l'execution de ma commande
Éxecution récursive d'un AST
Redirection des entrées sorties si il y a un pipe ou un chevron
Pour les redirections
Selon l'opérateur, il faudra rediger l'entrée et la sortie de notre commande sur différents fichiers, pipe, etc
Merci de votre attention
Maintenant, la démo
MINISHELL 2
By Marc Rollin
Made with Slides.com
MINISHELL 2
1,156
Marc Rollin
More from
Marc Rollin