Estructuración de una aplicación
Curso Java Experto
Clase 6
Patrón de arquitectura
Un patrón arquitectónico expresa un esquema de organización estructural esencial para un sistema de software, que consta de subsistemas, sus responsabilidades e interrelaciones.
MVC
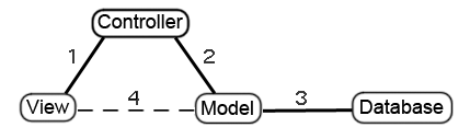
Es un patrón de arquitectura de software, que separa los datos y la lógica de negocio de una aplicación de la interfaz de usuario y el módulo encargado de gestionar los eventos y las comunicaciones.
Para ello MVC propone la construcción de tres componentes distintos que son el modelo, la vista y el controlador, es decir, por un lado define componentes para la representación de la información, y por otro lado para la interacción del usuario.
Este patrón de arquitectura de software se basa en las ideas de reutilización de código y la separación de conceptos, características que buscan facilitar la tarea de desarrollo de aplicaciones y su posterior mantenimiento.

Modelo
El modelo es un conjunto de clases que representan la información del mundo real que el sistema debe procesar, así por ejemplo un sistema de administración de datos climatológicos tendrá un modelo que representará la temperatura, la humedad ambiental, el estado del tiempo esperado, etc. sin tomar en cuenta ni la forma en la que esa información va a ser mostrada ni los mecanismos que hacen que esos datos estén dentro del modelo, es decir, sin tener relación con ninguna otra entidad dentro de la aplicación.
Gestiona todos los accesos a dicha información, tanto consultas como actualizaciones, implementando también los privilegios de acceso que se hayan descrito en las especificaciones de la aplicación (lógica de negocio)
Vista
Las vistas son el conjunto de clases que se encargan de mostrar al usuario la información contenida en el modelo. Una vista está asociada a un modelo, pudiendo existir varias vistas asociadas al mismo modelo; así por ejemplo, se puede tener una vista mostrando la hora del sistema como un reloj analógico y otra vista mostrando la misma información como un reloj digital
Controlador
El controlador es un objeto que se encarga de dirigir el flujo del control de la aplicación debido a mensajes externos, como datos introducidos por el usuario u opciones del menú seleccionadas por él. A partir de estos mensajes, el controlador se encarga de modificar el modelo o de abrir y cerrar vistas.
El controlador tiene acceso al modelo y a las vistas, pero las vistas y el modelo no conocen de la existencia del controlador.
También puede enviar comandos a su 'vista' asociada si se solicita un cambio en la forma en que se presenta el 'modelo' (por ejemplo, desplazamiento o scroll por un documento o por los diferentes registros de una base de datos), por tanto se podría decir que el 'controlador' hace de intermediario entre la 'vista' y el 'modelo'.
Interacción de los componentes
- El usuario interactúa con la interfaz de usuario de alguna forma (por ejemplo, el usuario pulsa un botón, enlace, etc.)
- El controlador recibe (por parte de los objetos de la interfaz-vista) la notificación de la acción solicitada por el usuario. El controlador gestiona el evento que llega, frecuentemente a través de un gestor de eventos (handler) o callback.
- El controlador accede al modelo, actualizándolo, posiblemente modificándolo de forma adecuada a la acción solicitada por el usuario (por ejemplo, el controlador actualiza el carro de la compra del usuario). Los controladores complejos están a menudo estructurados usando un patrón de comando que encapsula las acciones y simplifica su extensión.
- 4. El controlador delega a los objetos de la vista la tarea de desplegar la interfaz de usuario. La vista obtiene sus datos del modelo para generar la interfaz apropiada para el usuario donde se reflejan los cambios en el modelo (por ejemplo, produce un listado del contenido del carro de la compra). El modelo no debe tener conocimiento directo sobre la vista. Sin embargo, se podría utilizar el patrón Observador para proveer cierta indirección entre el modelo y la vista, permitiendo al modelo notificar a los interesados de cualquier cambio. Un objeto vista puede registrarse con el modelo y esperar a los cambios, pero aun así el modelo en sí mismo sigue sin saber nada de la vista. Este uso del patrón Observador no es posible en las aplicaciones Web puesto que las clases de la vista están desconectadas del modelo y del controlador. En general el controlador no pasa objetos de dominio (el modelo) a la vista aunque puede dar la orden a la vista para que se actualice. Nota: En algunas implementaciones la vista no tiene acceso directo al modelo, dejando que el controlador envíe los datos del modelo a la vista.
- 5. La interfaz de usuario espera nuevas interacciones del usuario, comenzando el ciclo nuevamente....
MVC y bases de datos
Muchos sistemas informáticos utilizan un Sistema de Gestión de Base de Datos para gestionar los datos que debe utilizar la aplicación; en líneas generales del MVC dicha gestión corresponde al modelo.

Ventajas
- La aplicación está implementada modularmente.
- Las modificaciones a las vistas no afectan en absoluto a los otros módulos de la aplicación. MVC es bastante utilizado en la actualidad en marcos de aplicación orientados a objeto desarrollados para construir aplicaciones de gran tamaño; Java Swing, Apache Struts, Microsoft ASP.NET, siguen este patrón. MVC está demostrando ser un patrón de diseño bien elaborado pues las aplicaciones que lo implementan presentan una extensibilidad y una mantenibilidad únicas comparadas con otras aplicaciones basadas en otros patrones.
- Reusabilidad de código.
Desventajas
- El tiempo de desarrollo de una aplicación que implementa el patrón de diseño MVC es mayor, al menos en la primera etapa, que el tiempo de desarrollo de una aplicación que no lo implementa, ya que MVC requiere que el programador implemente una mayor cantidad de clases que en un entorno de desarrollo común no son necesarias. Sin embargo, esta desventaja es muy relativa ya que posteriormente, en la etapa de mantenimiento de la aplicación, una aplicación MVC es muchísimo más mantenible, extensible y modificable que una aplicación que no lo implementa
- MVC es un patrón orientado a objetos por lo que su implementación es sumamente costosa y difícil en lenguajes que no siguen este paradigma.
MVC en Swing
-
Modelo:
- El modelo lo realiza el desarrollador
-
Vista:
- Conjunto de objetos de clases que heredan de java.awt.Component
-
Controlador:
- El controlador es el thread de tratamiento de eventos, que captura y propaga los eventos a la vista y al modelo.
- Clases de tratamiento de los eventos (a veces como clases anónimas) que implementan interfaces de tipo EventListener (ActionListener, MouseListener, WindowListener, etc.)
Algunos aspectos del patrón MVC han evolucionado dando lugar a ciertas variantes del concepto original, ya que "'las partes del MVC clásico realmente no tienen sentido para los clientes actuales":
MVP

Modelo–Vista–Presentador (MVP) es una derivación del patrón arquitectónico modelo–vista–controlador (MVC), y es utilizado mayoritariamente para construir interfaces de usuario.
- El modelo es una interfaz que define los datos que se mostrará o no actuado en la interfaz de usuario.
- El presentador actúa sobre el modelo y la vista. Recupera datos de los repositorios (el modelo), y los formatea para mostrarlos en la vista.
- La vista es una interfaz pasiva que exhibe datos (el modelo) y órdenes de usuario de las rutas (eventos) al presentador para actuar sobre los datos.
Curso Java Experto Clase 5
By Marina Garcia
Curso Java Experto Clase 5
- 816