"Más allá de los cálculos"
Michael Hurtado
Matemáticas
"Las matemáticas no se tratan de números, ecuaciones, cálculos, o algoritmos: se tratan de entender"
William P. Thurston





"La naturaleza está escrita en lenguaje matemático"
Galileo

Aloe espiral

Col fractal

Polen

Huevo de tardígrado

Virus de la hepatitis B

Copo de nieve

Cristal de bismuto

Panal de abejas

El ojo de una mosca

¿Qué es?
¿Se podrá estudiar con la geometría que conocemos?
"Un matemático que no es en algún sentido poeta, nunca será un buen matemático"
Karl Weierstrass

Proporción Áurea

Escher

El matemático percibe la belleza no sólo de manera estética

Erdos y "el libro"

1+3+5+...+(2n-1)=ny
2

1/2+1/4+1/8+1/16+...=1y

1/4+1/16+1/64+1/256+...=?y
Algunos trabajos

John H. Conway
El juego de la vida


Allen Knutson

Erik Demaine


John Edmark
"Los matemáticos revolucionaron nuestra forma de vivir y pensar"

Ada lovelace

Charles Babbage

Modelo de máquina

Norbert Wiener

Cibernética

Richard Courant

Elementos finitos

Von Neumann

Arquitectura de un chip

Benoit Mandelbrot

Antena de celular

Fractal de Sierpinski

Fractal de Menger

Pulmones

Alan Turing

Inteligencia Artificial

Morfogénesis

Patrones

Rudolf Kalman

Acelerómetro

Drone

Alexandre Grothendieck
Matemáticos en el Perú

Federico Villarreal

Carlos Gutiérrez

César Camacho

Harald Helfgott
La matemática como profesión

Ránking de los mejores trabajos (2015)
El premio Nobel?

Bertrand Russell

John Nash
La medalla Fields

Mi trabajo

Fabricación digital
Computación gráfica

Sistemas de Lindenmayer

Vista superior

Vista lateral

Planos de corte

Modelo fabricado

En 3D

Mandelbulb

Politopo


Visión artificial

Pantalla amplificada

Pantalla de celular

Las imágenes a color

Atractores

Triangulación de Delaunay

Bacilo de Koch

Algoritmo de detección

Escaneo 3D

Usando fotogrametría

Imagen de ADN

Imagen de ADN filtrada

Imagen de ADN con id

Cadena de ADN medida

Facetracking

Skeleton tracking
Reconocimiento facial
Realidad aumentada
Robótica

Microcontrolador

Diseño mecánico

Cuybot
Prueba de movimiento
Sistemas

Turing Mccabe

Coral
Simulación
Ciencia de datos e IA

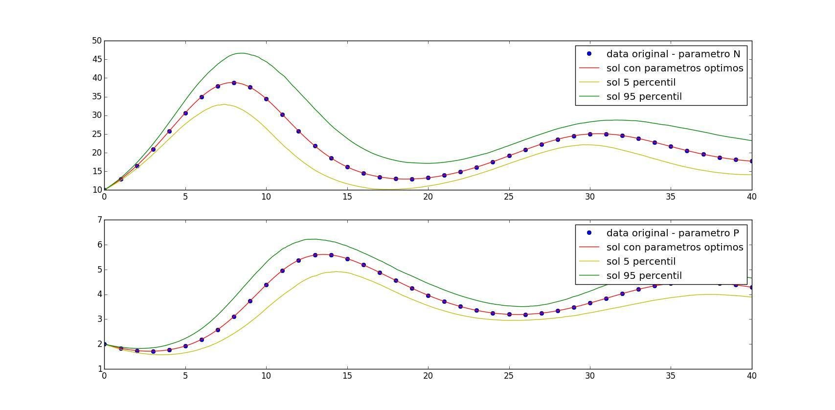
Dinámica de poblaciones

Estimación de parámetros

Visualización de datos

SVM

Modelo neuronal artificial

Red neuronal

Imagen hecha con rn

Gracias
ExpoUNI
By Michael Hurtado
ExpoUNI
- 642