Electric Charges and Fields
M. Rocha
Physics 4B - Chapter 5 (OpenStax)
Electrostatics
Electricity at rest
Electrical Forces
There are two types of electrical charge:
Positive and Negative
Like charges repel, opposite charges attract

Origin of Charge
Charge comes from Electrons and Protons

Proton charge = e
Electron charge = -e
e is called the elementary charge
Chekpoint
What is the total charge of an object with 6 electrons and 5 protons?
Total charge = -6 e + 5 e = -1 e
Charge is quantized
The elementary charge e is the smallest unit of charge
No smaller units of charge have ever been observed, all charged objects have a charge that is a whole-number multiple of e, the smallest quantum of charge
quarks have never been observed alone, they are always in a combination so that their charge sums to e, -e or zero


Charging by Friction/Contact
Electrons move easily, so an object can become charged by rubbing electrons off an object’s surface


Chekpoint
When you rub a balloon against your hair the balloon gets electrically charged, this is because
Electrons are released from the fur and stick on the balloon
Human Electroscope


Conservation of Charge
Charge cannot be created nor destroyed.
Objects become charged by transfer of charges

Conductors and Insulators
Conductors: Materials in which electrons flow freely, such as metals
Insulators: Materials in which electrons do not move easily, such as plastic and wood
Semiconductors: Materials that can act as conductors or insulators under different conditions, such as silicon

Lightning
Air is an insulator but at high voltages it can conduct electricity as lightning
Lightning
Air is an insulator but at high voltages it can conduct electricity as lightning



Charging by Induction
If a charged object is brought near a conducting surface, even without physical contact, electrons will move in the conducting surface


Charging by Induction
If a charged object is brought near a conducting surface, even without physical contact, electrons will move in the conducting surface

Charge Polarization
Charge polarization occurs when the positions of the electrons and protons in an atom are skewed

Charge Polarization
Charge polarization occurs when the positions of the electrons and protons in an atom are skewed

Coulomb's Law
Electric force acts at a distance just like Gravity

And also like Gravity the magnitude of the Electric Force is proportional to the product of charge and inversely proportional to the square of the distance
Coulomb's Law
Electric force acts at a distance just like Gravity
And also like Gravity the magnitude of the Electric Force is proportional to the product of charge and inversely proportional to the square of the distance

Coulomb's Law
The SI unit of charge is the coulomb (C)
A charge of 1 C is the charge of 6.24 × 10^18 e
e = 1.6 × 10^-19 C


Coulomb's Law
The SI unit of charge is the coulomb (C)
A charge of 1 C is the charge of 6.24 × 10^18 e
e = 1.6 × 10^-19 C


Chekpoint
A charge Q is placed at the point P shown below. What is the force on Q?


The eight source charges each apply a force on the single test charge Q. Each force can be calculated independently of the other seven forces. This is the essence of the superposition principle.

The net electric force on a test charge Q is the vector sum of all the electric forces acting on it
Electric Field



Each of these eight source charges creates its own electric field at every point in space; shown here are the field vectors at an arbitrary point P. Like the electric force, the net electric field obeys the superposition principle.

Electric Field

The direction of the E field is radially away from the source charge. A positive test charge placed in this field would accelerate radially away from the nucleus (since it is also positively charged). The convention is that the direction of the electric field vector is defined in terms of the direction of the force it would apply to positive test charges.
Electric Field Lines
Electric field lines indicate the direction of electric force if a positive charge was placed in the electric field



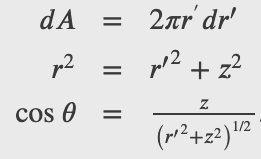
Continuous Charge Distributions

The configuration of charge differential elements for a (a) line charge, (b) sheet of charge, and (c) a volume of charge. Also note that (d) some of the components of the total electric field cancel out, with the remainder resulting in a net electric field.
Continuous Charge Distributions


Continuous Charge Distributions



A uniformly charged segment of wire


Use symmetry:
- dE_x cancels
- dE_y same for each side, hence the factor of 2





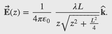
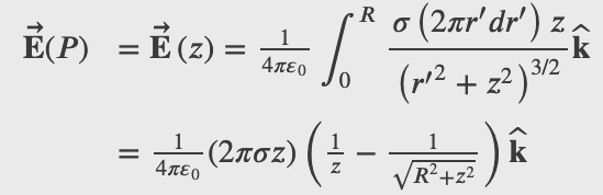
The electric field of a circular thin disk of radius R and uniform charge






Use symmetry:
- All dE_x's & dE_y's cancel and only dE_z survives


The Field of Two Infinite Planes



For a single infinite plate

Thus, for two infinite plates:
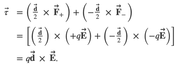
Rotation of a Dipole due to an Electric Field


Rotation of a Dipole due to an Electric Field




where p is the dipole moment
Electric Charges and Fields
By Miguel Rocha
Electric Charges and Fields
Physics 4B
- 970
