Git

"Dục tốc bất đạt"

git branch!

Commit đầu tiên

Commit tiếp theo

Commit tiếp theo

Tổng quan về commit
git branch testing
Thêm 1 nhánh vào git

git branch testing
Thêm 1 nhánh vào git

git branch testing <tiếp>
Thêm 1 nhánh vào git

git commit -a -m 'made a change'
Commit ở nhánh testing

git checkout master
Chuyển con trỏ về nhánh master

git commit -a -m 'made a change'
Commit ở nhánh master

git checkout -b hotfix
=
git branch hotfix
git checkout hotfix
Tạo mới và chuyển con trỏ sang nhánh mới

git merge
gộp 2 nhánh lại thánh

git checkout -d hotfix
Xóa nhánh tên là hotfix
Nhận cha chung
Hòng tìm cách để merge các nhánh lại

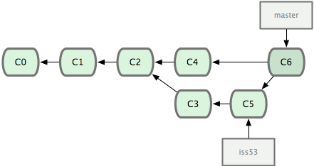
git merge issue53
merge một lần nữa

git branch
Rẽ nhánh trong git
Git có thể rẽ nhánh.
- Commit đầu tiên không có cha
- Commit bình thường có một cha,
- Commit có thể có nhiều cha =>
- Mẫu có thể kết thúc bằng dấu gạch chéo (/) để chỉ định một thư mục.
- Bạn có thể có "mẫu phủ định" bằng cách thêm dấu cảm thám vào phía trước (!).
Confict khi merge
khi mà mọi thứ không suôn sẻ, ai sẽ là người giải quyết.

Khi mà 2 nhánh cùng sửa một tệp tin thì git không thể merge file lại với nhau được.
Confict khi merge
Không thể commit
Những điểm cần lưu ý:
- Git chưa tự tạo commit tích hợp mới.
- Git thêm các dấu hiệu chuẩn riêng để giải quyết xung đột vào các tập tin có xảy ra xung độ
- Có thể merge bằng thủ công
- Sau khi merge thì phải commit lại.
Nó sẽ như này

- Phần mới nhất sẽ nằm phía trên( là phần HEAD đang trỏ vào)
- Phần bên dưới là phần trùng nhau trong nhánh khác.
git branch
Kiểm tra mình đang ở nhánh nào

git branch -v
Kiểm tra + tên commit

Thực tế thì sao

Thực tế thì sao <tiếp>


Nhánh Remote

git clone

Sửa trên máy mình

git fetch


Git rebase
ta có bài toán
Trông nó như sau

Nếu ta merge
Trông nó như sau

Còn nếu ta rebase
git rebase experiment


"Xin chào và hẹn gặp lại!"
deck
By nghiatv
deck
- 196