Machine Learning

and

Neural Networks

Machine Learning

 "A computer program is said to learn from experience E with respect to some class of tasks T and performance measure P, if its performance at tasks in T, as measured by P, improves with experience E"

Tom M. Mitchell

Supervised Learning

  • Training based on labeled data

 

  • The "right answer" is known

 

  • Two types: Regression and Classification

Supervised Learning Example

House price prediction

Supervised Learning Example

Type Classification

Unsupervised Learning

  • Training based on non-labeled data

 

  • The "right answer" is NOT known

 

  • Finds clusters instead of types.

Unupervised Learning 

Cluster Detection

Google News

News clustering. Show all related news together

DNA Data Analysis

Find patterns in very long DNA strings

Social Networks

Find clusters of people (friends, family, coworkers, etc)

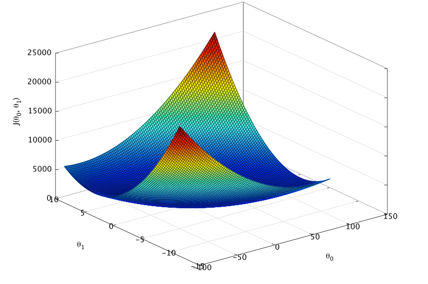
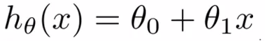
Univariable Linear Regression

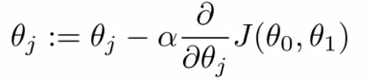
Gradient Descent

Artificial Neural Networks

Demo Time

The talk is over!

Thank you.

Machine Learning and Neural Networks

By Nicolas Gonzalvez

Machine Learning and Neural Networks

  • 688