Création et intégration de fonctions, classes de commandes moteur dans une interface de mesure Radio et CEM/IEM
Durée du stage : 4.2 mois

Nils DUFLO
Tuteur : Kamardine SELEMANI
1
Les constructions Mécaniques de Normandie

2


Les objectifs du stage

Permettre de contrôler une plaque tournante à l'aide d'une Raspberry et d'un moteur pas à pas.
3


Mon premier stage

4



Récupération et traitement de fichiers de mesure au format ".s2p"
Les mesures CEM

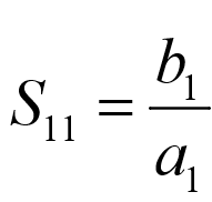
5
S[reçut][émit]


S11 et S22 => coefficients de réflexion
S12 et S21 => coefficients de transmission

Les mesures CEM

5 - 2

Travail effectué

6
- Refonte totale de la première application en Python2 en une nouvelle application en C++.
- Possibilité de contrôler un moteur de type pas à pas avec la nouvelle application.
- Séparation de la partie récupération et traitement des données. Le traçage des courbes se fait maintenant dans une application séparée et faite en Python3 avec PyQt5
Travail effectué

6 - 2

Travail effectué

6 - 3

Conclusion

7
deck
By Nils Duflo
deck
- 428