Deep Learning

Concepts&Frontiers

Applications

image classification

object detection

Applications

Applications

Applications

Motivations

Motivations

Motivations

Motivations

Motivations

Concepts

Linear classifier

Linear classifier

f(x,W) = Wx + b

f(x,W) = Wx + b

Array of 32x32x3 numbers
(3072 numbers total)

Linear classifier

Linear classifier

Linear classifier

Linear classifier

Image Features

Color Histogram

Image Features

Histogram of Oriented Gradients (HoG)

Image Features

Bag of Words

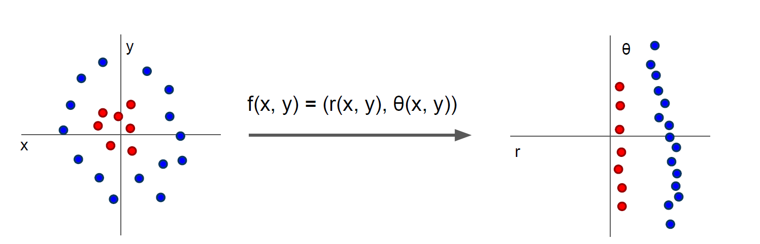
Image Features

Fully Connected Layer

PPT 链接

Learning Path

CS229/CS109

ML/DS

CS231n

DL for CV

CS224n

DL for NLP

CS246

DM

CS294

DL for RL

DeepLearning Part

By orashi

DeepLearning Part

  • 196