Automatización y control
Unidad 2: Instrumentación para el Control de Procesos
Ing. Oscar Alonso Rosete Beas
Semana 21 Septiembre Rev:2 ciclo 2020-2
oscarrosete.com
oscarrosete.com


Sesiones Previas
1.1. Definiciones y conceptos relacionados a los sistemas de control
1.2. Aplicaciones industriales de los sistemas de control
1.3. Sistemas de control de lazo abierto y Sistemas de Control de Lazo Cerrado
1.4. Modelado de sistemas dinámicos
1.5. Características de la respuesta en el tiempo
1.6. Estabilidad y error en estado estable
1.7. Controladores: Tipos, características y aplicaciones
1.8 Fundamentos de Labview y Matlab
Unidad 1: Automatización y Control Industrial
oscarrosete.com
Agenda
Unidad 2: Instrumentación para el Control de Procesos
Primer hora
2.1 Términos y conceptos de instrumentación
2.2. Sistemas de unidades
2.3. Medición de variables dinámicas en un proceso
2.4. Aplicaciones industriales de los sistemas de instrumentación y control
2.5. Tecnologías de hardware y software para la instrumentación y control de procesos
2da hora trabajo en exposiciones
oscarrosete.com
Unidad 1
oscarrosete.com
Comparativa otros cursos de instrumentación
oscarrosete.com
oscarrosete.com
24/09




Duración estándar: 1 Semestre
Duración Curso Actual: semana 7 a semana 9 (10 horas)
Unidad 2: Instrumentación para el Control de Procesos
2.1 Términos y conceptos de instrumentación
2.2. Sistemas de unidades
2.3. Medición de variables dinámicas en un proceso
2.4. Aplicaciones industriales de los sistemas de instrumentación y control
2.5. Tecnologías de hardware y software para la instrumentación y control de procesos
oscarrosete.com
oscarrosete.com
Agenda
24/09
Unidad 2: Instrumentación para el Control de Procesos
2.6. Transductores de Temperatura
2.7. Transductores de Esfuerzo y Deformación
2.8. Transductores de Posición y Movimiento
2.9. Transductores de Flujo y Presión
2.10. Transductores Ópticos y Ultrasónicos
2.11. Aplicaciones de Labview y Matlab
oscarrosete.com
oscarrosete.com
Sesiones Futuras
Exposiciones Semana 8
28-4 Octubre
Sesiones introductorias a LabVIEW
24/09
Unidad 2: Instrumentación para el Control de Procesos
2.6. Transductores de Temperatura
Jose Fernandez, Guillermo Jauregui, Esteban Duran
2.7. Transductores de Esfuerzo y Deformación
Marcos Real, Alejandro Aranda, Rodolfo Gomez
2.8. Transductores de Posición y Movimiento
Roberto Lavenant, Emilio Torres, Victor Trujillo, Humberto Lopez
2.9. Transductores de Flujo y Presión
Antonio Ayala, Ali Leal, Edwin Fernandez
2.10. Transductores Ópticos
Alberto Ordoñez, Sergio Ortiz, Francisco Corona.
2.10. Transductores Ultrasónicos
Carolina Uriarte, David Padilla, Sergio Acosta, Jose Arambula
oscarrosete.com
oscarrosete.com
24/09
Exposiciones Semana 8
Unidad 2: Instrumentación para el Control de Procesos
Presentación por equipo
- Principio fisico.
- Tipos de sensores existentes.
- Explicación del acondicionamiento de su señal.
- Ejemplo de dispositivo real con explicación de parámetros clave.
- Aplicaciones industriales (Identificación caso real de ubicación del sensor de interés, mencionar posibles criterios de selección)
- Requisito deseable video demostrativo.
- Requisito deseable P&ID.
- Referencias por lo menos 1 artículo arbitrado y libros de texto
Duración entre 10 a 15 minutos, será evaluado.
oscarrosete.com
oscarrosete.com
24/09
Exposiciones Semana 8
oscarrosete.com
Componentes básicos de un sistema de control
oscarrosete.com
24/09

Lo primero que se debe hacer es medir el valor actual de la variable que se va a controlar, y para esto se utiliza un elemento de medición que puede estar acoplado a un registrador o un simple indicador que puede ser leido por un operador.
oscarrosete.com
Los procesos industriales exigen el control de la fabricación de los diversos productos obtenidos. Los procesos son muy variados y abarcan muchos tipos de productos:
Introducción
oscarrosete.com
24/09

- productos derivados del petróleo,
- productos alimenticios,
- industria cerámica,
- centrales generadores de energía
- siderurgia
- tratamientos térmicos
- industria papelera
oscarrosete.com
En todos estos procesos es absolutamente necesario controlar y mantener constantes algunas magnitudes, tales como la presión, el caudal, el nivel, la temperatura, el pH, la conductividad, la velocidad, la humedad, el punto de rocío, etcétera.
Los instrumentos de medición y control permiten el mantenimiento y la regulación de estas constantes en condiciones más idóneas que las que el propio operador podría realizar.
Introducción
oscarrosete.com
24/09

oscarrosete.com
En los inicios de la era industrial, la operatoria de los procesos se llevaba a cabo con un control manual de estas variables utilizando sólo instrumentos simples, manómetros, termómetros, válvulas manuales, etc., control que era suficiente por la relativa simplicidad de los procesos.
Antecedentes
oscarrosete.com
24/09

oscarrosete.com
Sin embargo, la gradual complejidad con que éstos se han ido desarrollando ha exigido su automatización progresiva por medio de los instrumentos de medición y control.
Actualidad
oscarrosete.com
24/09



oscarrosete.com
Estos instrumentos han permitido una labor única de supervisión y de vigilancia del proceso desde centros de control en el propio proceso o en salas aisladas separadas
Nos permite fabricar productos complejos en condiciones estables de calidad.
Actualidad
oscarrosete.com
24/09


oscarrosete.com
Los instrumentos de medición y de control son relativamente complejos y su función puede comprenderse bien si están incluidos dentro de una clasificación adecuada.
Se considerarán dos clasificaciones básicas: la primera relacionada con la función del instrumento y la segunda con la variable del proceso.
2.1 Términos y conceptos de instrumentación
oscarrosete.com
24/09

oscarrosete.com
De acuerdo con la función del instrumento, obtenemos las formas siguientes:
Instrumentos ciegos son aquellos que no tienen indicación visible de la variable.
Hay que hacer notar que son ciegos los instrumentos de alarma, tales como presostatos y termostatos que poseen una escala exterior con un índice de selección de la variable, ya que sólo ajustan el punto de disparo del interruptor o conmutador al cruzar la variable el valor seleccionado. Son también instrumentos ciegos, los transmisores de caudal, presión, nivel y temperatura sin indicación.
2.1 Términos y conceptos de instrumentación
oscarrosete.com
24/09
oscarrosete.com
De acuerdo con la función del instrumento, obtenemos las formas siguientes:
Instrumentos ciegos son aquellos que no tienen indicación visible de la variable.
2.1 Términos y conceptos de instrumentación
oscarrosete.com
24/09

oscarrosete.com
De acuerdo con la función del instrumento, obtenemos las formas siguientes:
Los instrumentos indicadores disponen de un índice y de una escala graduada en la que puede leerse el valor de la variable. Existen también indicadores digitales que muestran la variable en forma numérica con dígitos.
2.1 Términos y conceptos de instrumentación
oscarrosete.com
24/09


oscarrosete.com
De acuerdo con la función del instrumento, obtenemos las formas siguientes:
Los instrumentos registradores registran con trazo continuo o a puntos la variable, y pueden ser circulares o de gráfico rectangular o alargado, según sea la forma del gráfico.
2.1 Términos y conceptos de instrumentación
oscarrosete.com
24/09

oscarrosete.com
Los sensores captan el valor de la variable de proceso y envían una señal de salida predeterminada.
El sensor puede formar parte de otro instrumento (por ejemplo, un transmisor) o bien puede estar separado. También se denomina detector o elemento primario por estar en contacto con la variable, con lo que utiliza o absorbe energía del medio controlado para dar al sistema de medición una indicación en respuesta a la variación de la variable.
2.1 Términos y conceptos de instrumentación
oscarrosete.com
24/09

oscarrosete.com
Los transmisores captan la variable de proceso a través del elemento primario y la transmiten a distancia en forma de señal neumática de margen 3 a 15 psi (libras por pulgada cuadrada) o electrónica de 4 a 20 mA de corriente continua o digital.
2.1 Términos y conceptos de instrumentación
oscarrosete.com
24/09
oscarrosete.com
Los transductores reciben una señal de entrada función de una o más cantidades físicas y la convierten modificada o no a una señal de salida.
Son transductores, un relé, un elemento primario, un transmisor, un convertidor PP/I (presión de proceso a intensidad), un convertidor PP/P (presión de proceso a señal neumática), etc.
2.1 Términos y conceptos de instrumentación
24/09
oscarrosete.com
oscarrosete.com
Los convertidores son aparatos que reciben una señal de entrada neumática (3–15 psi) o electrónica (4–20 mA c.c.) procedente de un instrumento y después de modificarla envían la resultante en forma de señal de salida estándar.
El termino transductor es general y no debe aplicarse a un aparato que convierta una señal de instrumentos.
2.1 Términos y conceptos de instrumentación
24/09
oscarrosete.com
oscarrosete.com
24/09
oscarrosete.com
2.6. Transductores de Temperatura
2.7. Transductores de Esfuerzo y Deformación
2.8. Transductores de Posición y Movimiento
2.9. Transductores de Flujo y Presión
2.10. Transductores Ópticos
2.10. Transductores Ultrasónicos
oscarrosete.com
oscarrosete.com
2.1 Términos y conceptos de instrumentación
Cuando se hace referencia a la clasificación en función de la variable del proceso, es necesario identificar específicamente el tipo de las señales medidas siendo independiente del sistema empleado en la conversión de la señal de proceso.
Obteniendo la siguiente clasificación:
oscarrosete.com
Los instrumentos de control empleados en las industrias de proceso tales como química, petroquímica, alimenticia, metalúrgica, energética, textil, papel, etc., tie- nen su propia terminología.
Los términos empleados definen las características propias de medida y de control y las estáticas y dinámicas de los diversos instrumentos utilizados:
Indicadores, registradores, controladores, transmisores y válvulas de control.
2.2. Sistemas de unidades
oscarrosete.com
24/09
oscarrosete.com
La terminología empleada se ha unificado con el fin de que los fabricantes, los usuarios y los organismos o entidades que intervienen directa o indirectamente en el campo de la instrumentación industrial empleen el mismo lenguaje.
Las definiciones de los términos empleados se relacionan con las sugerencias hechas por ANSI/ISA–S51.1–1979 (R 1993) aprobadas el 26 de mayo de 1995.
2.2. Sistemas de unidades
oscarrosete.com
24/09
oscarrosete.com
Las definiciones de los términos empleados se relacionan con las sugerencias hechas por ANSI/ISA–S51.1–1979 (R 1993) aprobadas el 26 de mayo de 1995.
P&ID Naming
2.2. Sistemas de unidades
oscarrosete.com
24/09

oscarrosete.com
Intervalo de medida (range)
Espectro o conjunto de valores de la variable medida que están comprendidos dentro de los límites superior e inferior de la capacidad de medida, de recepción o de transmisión del instrumento. Viene expresado estableciendo los dos valores extremos.
Ejemplo: Un manómetro de intervalo de medida 0–10 bar, un transmisor de presión electrónico de 0–25 bar con señal de salida 4–20 mA c.c. o un instrumento de temperatura de 100–300 ºC.
Terminología unificada
oscarrosete.com
24/09

oscarrosete.com
Intervalo de medida (range)
Otro término derivado es el de dinámica de medida o rangeabilidad (range-ability), que es el cociente entre el valor de medida superior e inferior de un instrumento.
Por ejemplo, una válvula de control lineal que regule linealmente el caudal desde el 2 % hasta el 100 % de su carrera tendrá una rangeabilidad de 100/2 = 50.
oscarrosete.com
24/09
Terminología unificada
oscarrosete.com
Alcance (span)
Es la diferencia algebraica entre los valores superior e inferior del campo de medida del instrumento. En los ejemplos anteriores es de 10 bar para el manómetro, de 25 bar para el transmisor de presión y de 200 ºC para el instrumento de temperatura.
oscarrosete.com
24/09

Terminología unificada
oscarrosete.com
Error
El error de la medida es la desviación que presentan las medidas prácticas de una variable de proceso con relación a las medidas teóricas o ideales, como resultado de las imperfecciones de los aparatos y de las variables parásitas que afectan al proceso.
oscarrosete.com
24/09
Error = Valor leído en el instrumento – Valor ideal de la variable medida
Terminología unificada
oscarrosete.com
Cuando una medición se realiza con la participación de varios instrumentos, colocados unos a continuación de otros, el valor final de la medición estará constituido por los errores inherentes a cada uno de los instrumentos.
Si el límite del error relativo de cada instrumento es ± a, ± b, ± c, ± d, etc., el máximo error posible en la medición será la suma de los valores anteriores.
oscarrosete.com
24/09
Terminología unificada
oscarrosete.com
Como es improbable que todos los instrumentos tengan al mismo tiempo su error máximo en todas las circunstancias de la medida, suele tomarse como error total de una medición la raíz cuadrada de la suma algebraica.
oscarrosete.com
24/09

Terminología unificada
oscarrosete.com
Exactitud (accuracy)
La exactitud (accuracy) es la cualidad de un instrumento de medida por la que tiende a dar lecturas próximas al verdadero valor de la magnitud medida. En otras palabras, es el grado de conformidad de un valor indicado a un valor estándar aceptado o valor ideal, considerando este valor ideal como si fuera el ver- dadero.
oscarrosete.com
24/09
Terminología unificada
oscarrosete.com
Exactitud (accuracy)
La exactitud (accuracy) define los límites de los errores cometidos cuando el instrumento se emplea en condiciones normales de servicio durante un período de tiempo determinado (normalmente 1 año). La exactitud se da en términos de inexactitud, es decir, un instrumento de temperatura de 0–100 ºC con tempera- tura del proceso de 100 ºC y que marca 99,98 ºC se aproxima al valor real en 0,02 ºC, o sea tiene una inexactitud de 0,02 ºC.
oscarrosete.com
24/09
Terminología unificada
oscarrosete.com
Exactitud (accuracy)
Se puede representar de las siguientes formas:
a) Tanto por ciento del alcance, campo de medida o range.
Ejemplo: En un instrumento de temperatura con intervalo de 100 a 200, para una lectura de 150 ºC y una exactitud de ± 0,5 %, el valor real de la temperatura estará comprendido entre 150 ± 0,5 × 200/100 = 150 ± 1, es decir, entre 149 y 151ºC.
b) Directamente, en unidades de la variable medida. Ejemplo: exactitud ± 1 ºC.
oscarrosete.com
24/09
Terminología unificada
oscarrosete.com
Exactitud (accuracy)
c) Tanto por ciento de la lectura efectuada.
Ejemplo: exactitud de ± 1 % de 150 ºC, es decir, ± 1,5 ºC.
d) Tanto por ciento del valor máximo del campo de medida.
Ejemplo: exactitud de ± 0,5 % de 300 ºC = ± 1,5 ºC.
e) Tanto por ciento de la longitud de la escala.
Ejemplo: si la longitud de la escala del instrumento es de 150 mm, la exactitud de ± 0,5 % representará ± 0,75 mm en la escala.
oscarrosete.com
24/09
Terminología unificada
oscarrosete.com
Precisión
La precisión es la cualidad de un instrumento por la que tiende a dar lecturas muy próximas unas a otras, es decir, es el grado de dispersión de las mismas. Un ins- trumento puede tener una pobre exactitud, pero una gran precisión.
Por ejemplo, un manómetro de intervalo de medida de 0 a 10 bar, puede tener un error de cero considerable marcando 2 bar sin presión en el proceso y diversas lecturas de 7,049, 7,05, 7,051, 7,052 efectuadas a lo largo del tiempo y en las mismas condiciones de servicio, para una presión del proceso de 5 bar.
oscarrosete.com
24/09
Terminología unificada
oscarrosete.com
Precisión
Tendrá un error práctico de 2 bar, pero los valores leídos estarán muy próximos entre sí con una muy pequeña dispersión máxima de 7,052 – 7,049 = 0,003, es decir, el instrumento tendrá una gran precisión.
oscarrosete.com
24/09

Terminología unificada
oscarrosete.com
Exactitud vs precisión
oscarrosete.com
24/09
Terminología unificada
oscarrosete.com
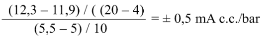
Sensibilidad (sensitivity)
La sensibilidad (sensitivity) es la razón entre el incremento de la señal de salida o de la lectura y el incremento de la variable que lo ocasiona, después de haberse alcanzado el estado de reposo. Por ejemplo, si en un transmisor electrónico de 0–10 bar, la presión pasa de 5 a 5,5 bar y la señal de salida de 11,9 a 12,3 mA c.c., la sensibilidad es el cociente:
oscarrosete.com
24/09

Terminología unificada
oscarrosete.com
Sensibilidad (sensitivity)
la definición inicial de la sensibilidad era "valor mínimo en que se ha de modificar la variable para apreciar un cambio medible en el índice o en la pluma de registro de los instrumentos.
oscarrosete.com
24/09
Terminología unificada
oscarrosete.com
oscarrosete.com
24/09
Terminología unificada
oscarrosete.com
oscarrosete.com
24/09

Terminología unificada
Unidad 2: Instrumentación para el Control de Procesos
2.6. Transductores de Temperatura
Jose Fernandez, Guillermo Jauregui, Esteban Duran
2.7. Transductores de Esfuerzo y Deformación
Marcos Real, Alejandro Aranda, Rodolfo Gomez
2.8. Transductores de Posición y Movimiento
Roberto Lavenant, Emilio Torres, Victor Trujillo, Humberto Lopez
2.9. Transductores de Flujo y Presión
Antonio Ayala, Ali Leal, Edwin Fernandez
2.10. Transductores Ópticos
Alberto Ordoñez, Sergio Ortiz, Francisco Corona.
2.10. Transductores Ultrasónicos
Carolina Uriarte, David Padilla, Sergio Acosta, Jose Arambula
oscarrosete.com
oscarrosete.com
24/09
Exposiciones Semana 8
Automatización y Control semana 7 21 Septiembre
By Oscar Rosete
Automatización y Control semana 7 21 Septiembre
- 604








