high energy emission from
star-jet interactions in agn
Palermo, 16th June 2017

V. M. DE LA CITA

Getting started: motivations
Active galactic nuclei (AGN) jets can interact with every kind or stellar populations. Also, AGN activity has been proved to be closely related with starbursts, so the occurrence of interactions between the jet and the stellar population is expected to be frequent .
Dynamical effects
non-thermal emission
Star-jet interactions: a tale of two winds
- 70's: Blandford & König 79 propose stars/clouds can form shocks inside AGN jets
- 80's: Several authors (Frölik et al. 89, Rees 87, Penston 88) explore the possibility of the BLR being the interactive cloud.
- 90's: Analytical (Komissarov 94) and numerical (Bowman et al. 96) studies of the dynamical impact of stars on AGN jets.
- 00's: Hubbard & Blackman 06, Perucho et al. 14 - disruption of the jet by stars.
Impact on the jet dynamics

Komissarov 94
Star-jet interactions: a tale of two winds
- 90's: Bednarek & Protheroe 97 first studied the possibility
- S. XXI: Several authors have explored the blazar, non-blazar, transient and persistent high energy emission (Barkov, Khangulyan, Bosch-Ramón, Araudo)
- Even observational evidence could exist (Hardcastle et al. 2003, Müller et al. 2014)
Gamma-ray emission

Inner parsec of Centaurus A
Müller, C. et al. 2014
Bednarek & Protheroe 1997; Barkov et al. 2010, 2012; Khangulyan et al. 2013;
Bosch-Ramon et al. 2012; Araudo et al. 2010,2013; Bosch-Ramon 2015;
Bednarek & Banasinski 2015, this work.
physical scenario

A number of problems must be addressed: the type of star populations, the impact of the stars in the jet dynamics...
Two-fold approach:
+ Study of a single interaction
+ Study of the stellar distribution to integrate the emission of the whole population.
physical scenario. A single star


Inner parsec of Centaurus A
Müller, C. et al. 2014
Coupling Hydrodynamics And NT computation
Outline
- Perform relativistic hydrodynamic simulations of the system. In our case, 2D axisymmetric simulations.
- Extract the streamlines of the simulated fluid.
- Compute the injection of NT particles, assuming a given acceleration efficiency.
- Let the particles evolve inside the fluid, until a steady-state is reached.
- Compute the NT emission. We focused on the most efficient channels in our systems: inverse Compton (IC) and synchrotron emission.
- Plot SEDs and maps of the results.
We fix our coordinate system with the y axis in the line connecting the base of the jet and the star. The shock is formed where the ram pressures of the two winds are balanced.
Our workframe
The stellar wind is uniform with the thrust of a high mass star with moderate mass-loss rate (the corresponding thrust also typical for red giants) with the following data:
The jet has a luminosity of:
and a wind Lorentz factor of:
for a 1 pc radius
Going into details. hidrodynamic setup.
The fluid is divided in 77 lines with 200 cells each, describing an axisymmetric 2D space of:

Going into details. Physical assumptions.
Magnetic field perpendicular to the fluid line
Definition of the magnetic field at the beginning of the line:
(Low, high magnetic field)
Fraction of matter energy flux that goes to magnetic energy (Poynting flux)
Photon field:
Coupling Hydrodynamics And NT computation
Internal energy goes up
and
fluid velocity goes down
Particle acceleration in shocks

A fraction of the generated internal energy per second in a given cell is transferred to NT particles.
The acceleration of particles takes place inside the shocks formed in the fluid. We inject non-thermal particles in the code when a shock takes place:
Going into details. some notes on the code.
- We let the particles evolve until they reach a steady state so we can consider the medium stationary, in other words, every loss time (e.g. synchrotron) or cell-crossing time is much shorter than the dynamical time on large scales.
- All the particle evolution and radiation computations are done in the (relativistic) frame of the fluid, so every relevant quantity has to be transformed, including the angles between fluid, gamma photons and target photons velocities.
- Once we have the electron distribution, we compute the inverse Compton (IC) and synchrotron radiation, taking into account Doppler boosting.
where
Going into details. Observer angle.
To sample a wide range of possibilities, we take four angles: 0º (with the jet bulk velocity pointing at the observer), 45º, 90º (when the observer is placed on the z axis) and 135º.
The observer will be placed beyond the star forming an angle theta with the vertical axis.

Star
Jet thrust
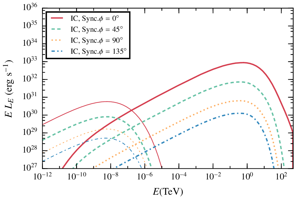
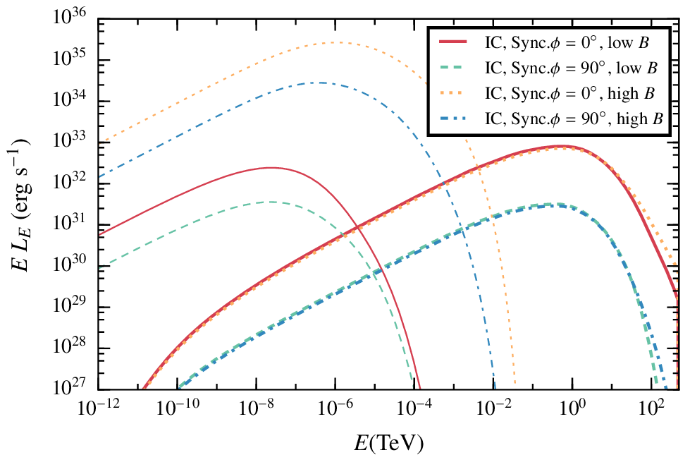
Results. Low magnetic field, steady state.
In the case of a low magnetic field, the IC radiation dominates the spectrum.
The difference between the four angles come from the doppler boosting, more important for smaller angles given that most of the cells have a strong y- component of the velocity

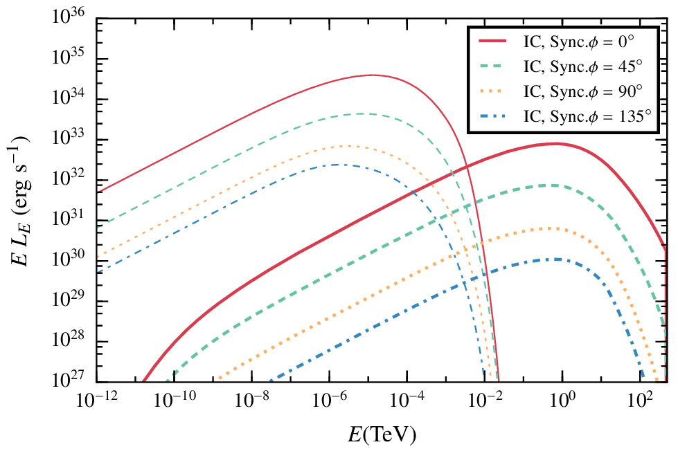
Results. high magnetic field, steady state.
In this case the synchrotron emission dominates the spectrum, whereas the IC is very similar.
Synchrotron emission can play an important role at GeV energies even with not-so-extreme magnetic fields.

Results. perturbed state.
In some cases, the instabilities can eventually lead to a perturbed state of the shock, increasing the effective area of the emitter.

Results. perturbed state with with different B fields and angles
When the instabilities lead to a perturbed state of the shock, a transient increment of the synchrotron luminosity is expected.

Maps. Steady state.

Inverse compton
The total observer luminosity in this case is:
Whereas the luminosity of the region with
is ~100 times smaller, so the effective size of the emitter is much larger than the CD region.
Maps. Steady state.

synchrotron
The total observer luminosity in this case is:
For the synchrotron, the emission is even more equally distributed through the shock, because it does not depend on the external photon field.
Maps. perturbed state.
Inverse compton
synchrotron


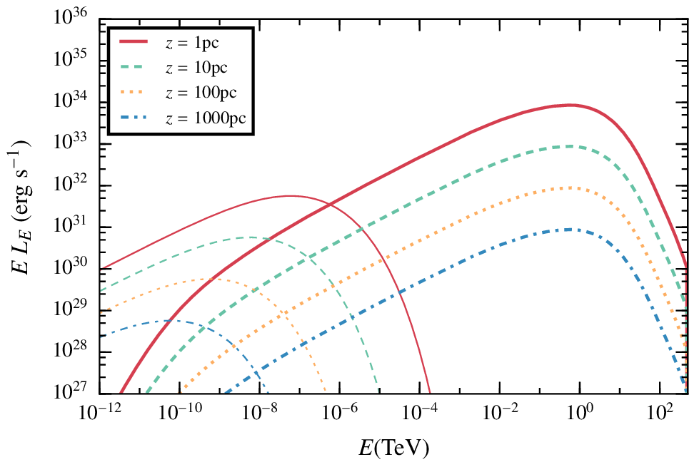
Discussion. Scalability of the results
Our hydrodinamical simulation places the star at a jet height of z = 10pc, but the results can be easily scaled with z.
If the losses are dominated by escape:

Discussion. Conclusions.
- The effective radius of the emitter is much bigger than the contact discotinuity radius.
- Emission levels strongly depend on the viewer angle due to Doppler boosting.
- The non-thermal luminosity for a single star points towards potentially detectable luminosities for typical populations crossing AGN jets, according to Bosch-Ramón 15 estimates.
- A recent work (Vieyro et al. 2017) suggest that this may be the case in the galaxy 3C 273.
V. M. de la Cita, V. Bosch-Ramon, X. Paredes-Fortuny, D. Khangulyan and M. Perucho, 2016, A&A, 591, A15
Thank You.
Going into details. Physical assumptions i.
We follow a prescription for particle acceleration in strong shocks. The acceleration timescale goes like ~1/v² as proposed in previous works (e.g. Drury 1983)
We inject non-thermal particles when a shock takes place:
Internal energy goes up
and
fluid velocity goes down
Where and how do we inject non-thermal particles

Backup slide. Fixing the line ending.
Given that the two winds can mix through the fluid lines, we have had to cut the lines at a certain point. To do so, we can impose that the amount of material that crosses the section do not get larger than a certain threshold:
Backup slide. Injected Luminosity.
The injected non-thermal particles have a lumisosity given by a fraction of the generated internal energy per second in the cell.
With the pre-factor varying between 0 and 1 and the +/- subindexes refering to the right/left boundaries, respectively.
Frascati Workshop Palermo - 2017
By otnoesmusica
Frascati Workshop Palermo - 2017
High-energy emission from star-jet interactions in AGN
- 946