Optimization in Logistic
Traveling Salesman Problem optimization case study
Introduction
What is the Traveling Salesman Problem?
Finding the shortest path to visit n points only once and return to the original point
Roundtrip by specified cities

Use cases
And more...
Bus routes
Distribution of Goods
Motherboards layout
Formulation
El papel del procesador en un S.O en tiempo real
Subject to

Objective function




(1)
(2)
(3)
(4)
(5)
Solving Traveling Salesman
Solving the traveling salesman problem
Traveling Salesman is an NP-Hard problem
The Traveling Salesman Algorithm belongs to the NP-Hard problems which means that there is no an exact algorithm to solve it
Meta Heuristics
In this case we are going to use a Heuristic in the category of evolutionary algorithms, e.g: Ant colony optimization, Genetic algorithms, ...
Ant Colony Optimization
Using an ant colony to understand and solve the Traveling Salesman problem
Transition
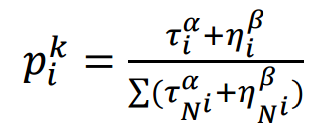
Moving ants depends on the amount of pheromone on the graph edges.
The probability pik, of transition of an ant from node i to node k is given by the formula

Reverse
The ant follows the same path but in reverse order, also, they left pheromones in the way

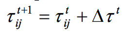
Evaporation of Pheromones
At the end the pheromones on the edges start to evaporate, this helps ants finding the shortest path to food

Computational Experiment
Simulating the problems using computers
32 cities in Slovakia
Using Gams and ACO to find the best solution
Gams
ACO
Simulation m=100
k: 1713
Distance to optimal: 17%

Simulation m=5000
k: 1621
Distance to optimal: 11.56%

Thanks!
Questions are welcome
Optimization: Logistics
By pablovallejo
Optimization: Logistics
Optimization example applied to logistics
- 1,676