Morfogénesis química de Turing

ALAN MATHISON TURING

VALIDACIÓN

60 años después de la muerte del matemático inglés, la Morfogénesis Química ha sido validada por la universidad de Brandeis en Pittsburgh.

Influencia Thomsoniana

Limitaciones físicas

  • 1 Continuidad de las variables t y x
  • 2 Las características físicas
  • 3 La difusión de los morfógenos en el tejido
  • 4 La cinética de los morfógenos
  • 5 El tamaño y la forma

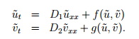
MODELO MATEMÁTICO

MODELO MATEMÁTICO

CASOS

IMPLICACIONES

Implicaciones químicas

 

Implicaciones matemáticas

 

Implicaciones computacionales

FIN

Morfogénesis química de Turing

By paunexus6

Morfogénesis química de Turing

  • 277