M.A.S
Movimiento Armonico Simple

Definicion
- Movimiento de un cuerpo en una ttayectoria cerrada que regresa al mismo punto de inicio
- Puede ocurrir en 2 sistemas diferentes:
- Sistema de pendulo
- Sistema masa-resorte



Text
Sistema Pendulo:
Este movimiento contiene:
Movimiento que realiza un ojeto cuando es colgado de un pivot (en este caso sin fricción) sostenido por una cuerda
- L : Longitud de la cuerda
- Ѳ : Angulo del movimiento
- A : Amplitud del movimiento
- G : Gravedad

Sistema Masa-Resorte
- El movimiento puede ser vertical u horizontal
- Consiste que el objeto unido al resorte se mueve cierta amplitud constantemente
- Se evalua sin ningún tipo de fricción, ya que si no, no sería un tipo de sistema armonico


En este tipo de sistema, como el movimiento circular se utilizan las siguientes ecuaciones
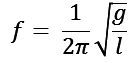
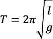
- Sistema Pendulo:
- Frecuencia:


- Periodo
Donde:
- Longitud Cuerda(m)
- Gravedad (m/seg²)
- Sistema Masa-Resorte:
- Frecuencia:
- Periodo

Donde:
- Masa Cuerpo (kg)
- Constante Resorte (N/kg)

Cinematica en M.A.S
Para este tipo de movimientos, se tienen ecuaciones que los "moldean". Con estas se evaluan los siguientes criterios:
- Posicion del movimiento (x)
- Velocidad del movimento (v)
- Aceleración del movimiento (a)
Posición metros:
-x = A*cos(ω*t)
-x = A * cos(0)
Donde:
A: Amplitud del movimiento(m)
-ω: velocidad angular (rad/seg)
T: Periodo en MAS(seg)
0: Angulo(rad)
Velocidad(m/s):
V = (x/s)
Por lo tanto, si derivamos:
V = -ω * A * sin(ω * T)
Donde:
-A = Amplitud (m)
-ω = Velocidad Angular (rads/seg)
-T = Periodo en MAS (seg)
- 0 = Angulo (rads)
Aceleración (m/s²):
a = v/t
Por lo tanto, si derivamos:
V = ω² * A * sin (ω * T)
Donde:
-A = Amplitud (m)
-ω = Velocidad Angular (rads/seg)
-T = Periodo en MAS (seg)
-0 = Angulo (rads)
Oscilaciones

Tipos de Oscilaciones:
Oscilaciones libres:
El sistema vibra indefinidamente debido a que no existe ningún tipo de fricción o resistencia con el aire
Oscilaciones Amortiguadas:
Un sistema recibe una unica fuerza y oscila libremente hasta detenerse luego de un tiempo por la amortiguación



La amplitud varia con cada oscilación hasta llegar a 0
La frecuencia de oscilación del sistema se mantiene durante todo el proceso

Oscilación Autosostenida
Consiste en un sistema donde se ingresa energía sistematicamente
Si la energía repuesta < Por fricción la amplitud disminuye. Y viceversa
Oscilación Forzada
Resultan de aplicar una fuerza periodica de magnitud constante sobre un sistema oscilador
La frecuencia de oscilación del sistema es igual a la de la fuerza que se le aplica
Resonancia
Si, en el caso de una oscilación forzada, la frecuencia generador coincide con la frecuencia natural del resonador, se dice que está en resonancia
Ondas & Efecto Doppler


Que es una onda?
"Conjunto de partículas que, en la propagación del movimiento vibratorio dentro de un medio o cuerpo elástico o inelástico, se encuentran en fases distintas intermedias entre dos fases iguales."
Existen varios tipos de ondas
-Electromagnéticas
-Mecánicas
-Gravitacionales



Efecto Doppler
-Efecto presente en todos los tipos de ondas
-A mayor velocidad valla un cuerpo en movimiento, menor será la frecuencia de las ondas que produce ante un espectador
f´ = f * ( V + Vo / V - Vs )

Observador

Sistema Estatico

Observador

Sistema En movimiento
Auto de F1
Aumento de la frecuencia
Usos del Efecto Doppler




Radio Y radares
medicina
Medición de velocidad
Astronomía
Astronimía
El efecto Doppler ha ayudado al descubrimiento del tamaño del universo
El espectro de colores funciona de la misma manera que las ondas de sonido o las ondas en el agua
Si el objeto se está alejando, la imagen producida por el objeto tendrá un tono rojo, si se está acercando, se ve de color azul









Boom Sonico
-Fenomeno Acustico producido cuando un objeto en movimiento supera la barrera del sonido (331,5 m/s) en la atmosfera terrestre
El sonido y el efecto visto es producido por la compreción del aire


V=0
V=331.5
V>331.5
Mach 1
f' = f * 1 / 1 +- (vs/v)
Explicación matematica
Cuando "VS" se acerca a "V", el resultado de la frecuencia Doppler se vuelve 0
mas
By Pedro Calle
mas
- 422
