Housing Reading Group

May 3, 2023

A Presentation of

BY: Boaz abramson

The Welfare Effects of Eviction and Homelessness Policies

Summary

  • First dynamic equilibrium model of the rental market that explicitly allows for defaults on rents, evictions and homelessness

Develops

  • “Right-to-Counsel” reform increases homelessness and slightly lowers aggregate welfare
  • Means-tested rental assistance reduces evictions and homelessness and improves welfare

Finds

Motivation

  • 3.6 Million Eviction Filings each year in the U.S.

  • 600,000 people sleep on the streets or in homeless shelters in a given night

Homeless

Shelter

Policies

?

Eviction Prevention policies can protect tenants temporarily 

Increase the cost of the real estate investor who may pass this onto future tenants 

Homeless

Shelter

Provides access to free legal representation in Eviction Cases

Policy: Right to Counsel

Tradeoff:

Lowers the likelihood that tenants default on rent in the first place*

Expensive policy and benefits may be seized by the real estate investors

Homeless

Shelter

Policy: Rental Subsidies

Tradeoff:

\$400 \ \textrm{monthly subsidies to families with wealth less than} \ \$1000

Overlapping Generation model of households who consume housing and consumption and face job-loss/divorce risks

Randomized Control Trail on the Effectiveness of Legal Representation in Eviction Cases

Model

Key Data

+

Model

Key Data

\implies

Counterfactual Policy Assessments

Data & Facts

"High-Quality Eviction Data"

  • Examines the drivers of Eviction (MARS)
\textrm{Jobloss, Divorce} \implies \uparrow \mathbb{P}(\textrm{Eviction})
  • Examines how the probability of these causes differ by age/education

Roughly Monotonically decreasing

  • Low-income individuals are rent burdened

Additional Data

American Information Research Services (AIRS).

  • Names, address, filing date of Eviction Cases

Infutor

  • Demographic characteristics and address history of individuals

CPS

  • Employment status and marital status

Shriver Act

  • Shriver Act staff recorded eviction status, case length, and debt repayment orders for tenants.

Model

Income

y_t= \begin{cases} f(a_t, \bar{e}, m_t)z_tu_t, \quad z_t > 0 \\ y^{unemp}(a_t, \bar{e}, m_t) \quad z_t=0 \end{cases}
f(a_t, \bar{e}, m_t)

Deterministic Life-Cycle Component

a_t: \textrm{age}
\bar{e}: \textrm{Innate Human Capital}
m_t: \textrm{Marital Status}

Persistent Component

z_t \in \{z^1, \dots, z^S\}
\pi_{z'/z}(a_t, \bar{e}, m_t, \textrm{div}_t) : \ \textrm{Transition Probabilities}

Transitory Component

u_t \sim \pi_u(\bar{e}, m_t, \textrm{div}_t) \quad i.i.d

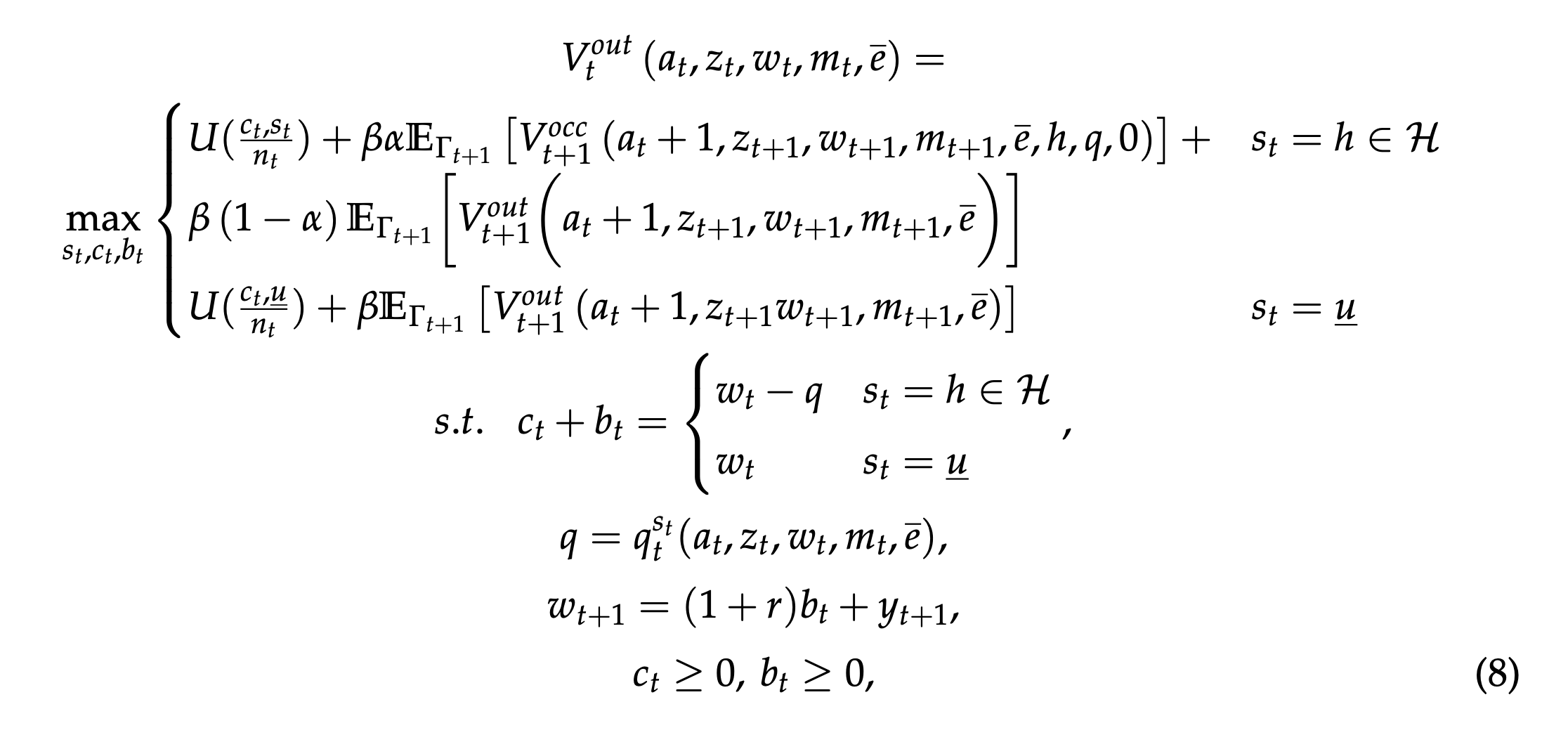
Household Problem

Rental Leases & Evictions

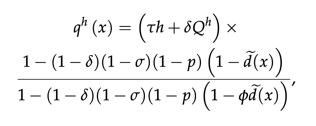
q_t^h(a_t, z_t, w_t, m_t, \bar{e})

Rent

Eviction Filings

  • Begin once the tenants default
  • Continue until tenant is evicted or repays

Eviction

  • Given default, occurs with exogenous probability
  • Tenant pays fraction of rental debt
h : \textrm{Housing Quality}
p
\phi
  • Tenant experience dead weight loss penalty
\lambda

Real Estate Investors

\textrm{Fixed Cost}: Q_t^h

Cost of Ownership

Budget Constraint

None

Purchase/Selling Length

\textrm{Instantaneous} \implies \ \textrm{No Vacancies}
\textrm{Per-period Cost}: \tau h

Rents are priced in a risk-neutral manner, such that for each lease investors break even in terms of discounted expected profits

Rental Price

Landowners

Market

Representative landowner for each house quality

Setup

Perfectly Competitive

Government

Tax

Cost of Homelessness & Policies

Expenditure

Lump Sum tax on Investors

Equilibrium

Equilibrium Rents and Default Premia

Default premia increases when

  • Default risk increase
  • Probability of Eviction given default decreases
  • Fraction of rental debt repaid decreases 
p : \textrm{Probability of eviction given default}
\phi : \textrm{Fraction of rental debt repaid}

CounterFactual Results

Right to Counsel

Main Criteria

Household Welfare

Net Government Expenditure

\$30.16 \ \textrm{million from increase in homelessness}
+
\$33.86 \ \textrm{million for legal counsel}
\approx \$64 \ \textrm{million}

Length of Eviction Case

38 \ \textrm{days} \to 50 \ \textrm{days}

Fraction of Rental Debt Repaid

71.5\% \to 56.5\%
\implies

Shriver Act RCT

Model Predictions

Rent

\uparrow \$100

Homelessness

\uparrow 15\%

Cost of Default

\$288 \to \$588

Interpreting the Reduction of EVICTION FILINGS

Rental Subsidies

Main Criteria

Household Welfare

Net Government Expenditure

- \$91.90 \ \textrm{million from decrease in homelessness}
+
\$85.77 \ \textrm{million for housing subsidy}
\approx -\$6.13 \ \textrm{million}

Thoughts

  • Understating the costs: mom & pop landlords risk averse?
  • Overstating the costs: assumes per-period maintenance cost independent of tenant behavior?
  • Overstating the benefits: landlords might increase informal evictions? 
  • Understating the benefits: the additional time might be key to ensure a smooth housing transition?
  • By Race/Gender might be worth considering

Real Estate Investors

Tenants

Heterogeneity

Insights of the Paper

  • Nature of the Risk of Default is Key
  • Evictions can fall under the Right to Counsel because low-income households are screened out of the market
  • The cost of the Right to Counsel on real estate investors is the product of the change in repayment rate with the lengthening of the eviction process

Housing Reading Group

By Patrick Power

Housing Reading Group

Presentation of Boaz Abramson's Working Paper: The Welfare Effects of Eviction and Homelessness Policies

  • 429