A recommendation engine for WordPress in 100 lines
by Piero Savastano
feat. Pollo Watzlawick




€€€
GOAL: Increase user engagement
- deadline: yesterday
- infrastructure: 20 €/y hosting
- budget: 1500 visibility points
Mr Watzlawick reasonable request





good old Collaborative filtering

Reality
check
- not all users are logged in
- CMS not built for batch processing
- PHP good for apps but not for data science

Let's get creative
- content based recommendation
(no need for user data)
- update only a few recommendations at a time (online training)
- leverage existing WP actions & filters

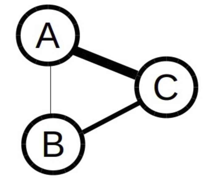
Similarity graph
{
"A":{
"B": 0.1,
"C": 0.8,
},
"B":{
"A": 0.1,
"C": 0.5,
},
"C":{
"A": 0.8,
"B": 0.5,
}
}

Similarity graph
wp_postmeta table

Similarity between posts
Mr Watzlawick is a charming chicken delivering brilliant communication
Paul Watzlawick proposed a brilliant theory of human communication
Similarity between posts
Mr Watzlawick is a charming chicken delivering brilliant communication
Paul Watzlawick proposed a brilliant theory of human communication
count
intersection
count
union
Similarity between posts
Mr Watzlawick is a charming chicken delivering brilliant communication
Paul Watzlawick proposed a brilliant theory of human communication
{ mr, watzlawick, charming,
chicken, delivering, brilliant, communication, paul, proposed, theory, human }
{ watzlawick, brilliant,
communication }
count
intersection
count
union
Similarity between posts
Mr Watzlawick is a charming chicken delivering brilliant communication
Paul Watzlawick proposed a brilliant theory of human communication
{ mr, watzlawick, charming,
chicken, delivering, brilliant, communication, paul, proposed, theory, human }
{ watzlawick, brilliant,
communication }
count
intersection
count
union
3
11
= .27
Similarity between posts
/**
* Measure text similarity between two posts
* using Jaccard/Tanimoto/Dice coefficient.
*/
public static function similarity( $post_id_a, $post_id_b ) {
// Transform each post in a bag of words
$bow_a = self::post_2_bag_of_words( $post_id_a );
$bow_b = self::post_2_bag_of_words( $post_id_b );
if( empty( $bow_a ) || empty( $bow_b ) ){
return 0;
}
// Compute Tanimoto
$intersection = array_unique( array_intersect( $bow_a, $bow_b ) );
$union = array_unique( array_merge( $bow_a, $bow_b ) );
return count( $intersection ) / count( $union );
}Similarity between posts
/**
* Transform post content in a bag of words
*/
public static function post_2_bag_of_words( $post_id ) {
$post = get_post( $post_id );
if( is_null($post) ){
return array();
}
$post_content = $post->post_content;
$clean_content = strtolower( wp_strip_all_tags( $post_content ) );
$clean_content = str_replace(
array(".", ",", ":", ";", "!", "?", "'", '"', "(", ")" ), "", $clean_content
); // No punctuation
$tokens = array_unique( explode( " ", $clean_content ) ); // Separate words
return array_diff( $tokens, self::$stopwords ); // No stopwords
}Update the similarity graph
/**
* Build recommendations at post save
*/
function dropout_update_recommendations( $post_id ) {
// kick asses right here
}
add_action( 'save_post', 'dropout_update_recommendations' );Update the similarity graph
if( !in_array( get_post_type( $post_id ), array( 'post', 'page') ) ){
return;
}
// Take latest 50 posts
$latest_posts = wp_get_recent_posts(
array(
'numberposts' => 50,
'post_type' => array( 'post', 'page' ),
'post_satus' => 'publish'
)
);
Update the similarity graph
$similarities = array();
foreach( $latest_posts as $another_post ){
if( $another_post['ID'] !== $post_id ) {
// Measure similarity
$similarity = Dropout::similarity( $post_id, $another_post['ID'] );
$similarities[ $another_post['ID'] ] = $similarity;
// ... more asses to kick here
}
}
// Save recommendations for this post
update_post_meta( $post_id, 'dropout_recommendations', $similarities );
Update the similarity graph
$similarities = array();
foreach( $latest_posts as $another_post ){
if( $another_post['ID'] !== $post_id ) {
// Measure similarity
$similarity = Dropout::similarity( $post_id, $another_post['ID'] );
$similarities[ $another_post['ID'] ] = $similarity;
// Update similarities for the other post
$already_computed_similarities =
get_post_meta( $another_post['ID'], 'dropout_recommendations', true );
$already_computed_similarities[$post_id] = $similarity;
update_post_meta( $another_post['ID'], 'dropout_recommendations', $already_computed_similarities );
}
}
// Save recommendations for this post
update_post_meta( $post_id, 'dropout_recommendations', $similarities );
Query the similarity graph
/**
* Get recommendations when a post is shown
*/
function dropout_get_recommendations( $content ) {
// kick asses here like there is no tomorrow
}
add_filter( 'the_content', 'dropout_get_recommendations' );Query the similarity graph
// Get similarities with other posts
$recommendations = get_post_meta( get_the_ID(), 'dropout_recommendations', true );
if( empty( $recommendations ) ) {
return $content;
}
// Sort by similarity
arsort( $recommendations );
// Take n most similar
$recommendations = array_slice($recommendations, 0, 5, true);
Query the similarity graph
// Loop over recommendations and print link, title, similarity.
// TODO: this should be templatable
$html = '<h3>See also</h3><ul>';
foreach( $recommendations as $recom_id => $similarity ) {
$recom_post = get_post( $recom_id );
if($recom_post && ($recom_post->post_status=='publish') ) {
$html .= '<li><a href="' . get_permalink($recom_post->ID) . '">'
. $recom_post->post_title
. '</a> (' . round($similarity, 5) .')</li>';
}
}
$html .= '</ul>';
// Return content with added recommendations
return $content . $html;Code tour
Conclusions
- only recommending latest posts
- not measuring word importance - TFIDF
- it's more than 100 lines
- if you want to dig: k-nearest-neighbors


What is ML

"Field of study that gives computers the ability to learn without being explicitly programmed"
A. Samuel
Artificial Intelligence
Bio-inspired AI
Machine
Learning
Deep
Learning
Explicit Programming
f is coded by the programmer:
step by step instructions to map x into y
Machine Learning
programmer gives the machine examples on x and y:
the machine figures out f on its own
y = f(x)
Data flow

The Pollo must go on



A recommendation engine for WordPress in 100 lines
By Piero Savastano
A recommendation engine for WordPress in 100 lines
- 4,893
