Machine Learning
&
Neural Networks

- Rishabh, Neuron
About me
- Technical Lead and Chief Deep Learning Engineer at Neuron
- Google Summer of Code Intern'14 with Mifos Initiative
- Google Summer of Code Mentor'16 with CLTK.org


What is Machine Learning?
...Machine Learning
Standard algorithms need a hard coded logic for input and output... On the contrarty machine learning models develops the logic using the input and output data
Input
Output
Standard algorithm has the function:
Machine Learning algorithm estimates the function
(y = f(x)) given the data:
0 : 0
1 : 2
n : 2 * n
Hypothesis: f(x) = 2 * x
Supervised and Unsupervised Learning
Supervised Learning vs. Unsupervised Learning
In Supervised Learning, we have a predefined input and output. Example - for training a sentiment analysis system, we have the text and the sentiment of each text
In Unsupervised Learning, we only have the input data and a defined action to take on them. Example - Clustering, Anomaly Detection, Dimensionality Reduction, etc.
Neural Networks

...Neural Networks
a beautiful, highly flexible and generic biologically-inspired programming paradigm which enables a computer to learn from observational data
Neural Network Architecture

Components
- Inputs
- Bias Inputs
- Weights - W
- Hidden layer activation
- Output layer activation
Significance of Weights(Network Parameter)

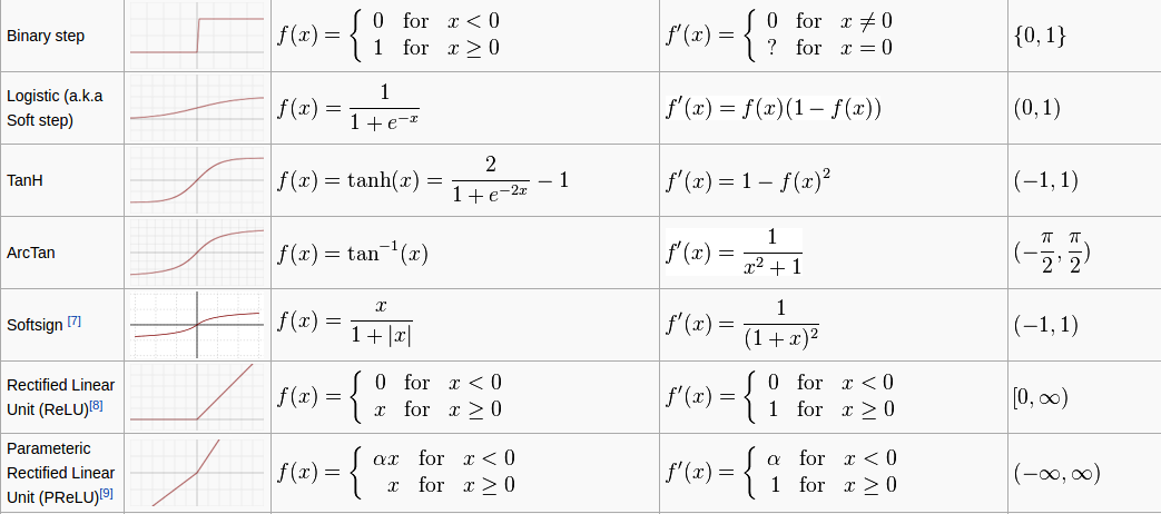
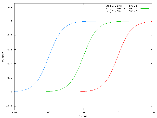
Activation Functions


Significance of Biases

Forward Propagation

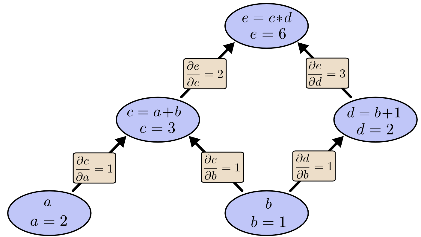
Back Propagation

Backpropagation - Logic

Loss(Cost) Function

Classification - Cross Entropy Loss:
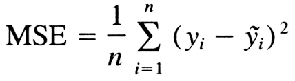
Regression - Mean Squared Error:

Convex Optimization

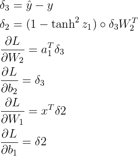
Neural Network - Equations



Forward Propagation
Backward Propagation
Loss Function
Suggested Reading:
Neural Networks
Introduction to Theano
Theano is a Python library that allows you to define, optimize, and evaluate mathematical expressions involving multi-dimensional arrays efficiently.
- Built on top of numpy
- Symbolic Expressions
- Automatic Differentiation
- In built integration for GPU Computation
- Python Interface
- Shared Variables
Theano Syntax
import numpy
import theano
import theano.tensor as T
from theano import pp
x = T.dscalar('x')
y = x ** 2
gy = T.grad(y, x)
f = theano.function([x], gy)
f(4)
# array(8.0)Suggested Reading:
Theano
Deep Neural Networks

Suggested Reading:
Deep Learning Models
This is It.
Email: rishabh@neuronme.com
Github: https://github.com/rishy
Linkedin: https://www.linkedin.com/in/rishabhshukla1
Hellomeets-ml-nn
By Rishabh Shukla
Hellomeets-ml-nn
- 2,698
