Rodolfo

de usuários

350 milhões

?

 ?  horas
de áudio

publicadas por minuto

12

Berlim

?

Vote no filme

X

X

?

?

?

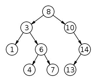
Árvore binária

Pseudo-código

Práticas
do
Mercado

TDD

Test-driven development

Agile

Metodologia ágil

VCS

Version control system

Inovação

Programação funcional

Scala

Haskell

Clojure

Big Data

R

Hadoop

Spark

Cloud computing

AWS

Docker

Heroku

Inglês

Rodolfo Ferreira

By Rodolfo Ferreira

Rodolfo Ferreira

  • 970