Tópico 4

Fundamentos da Mecânica

Prof. Ronai Lisbôa

Não compreendeu algo? Algo está esquisito? Comente!

Objetivos

Como propagar os "erros" de uma medida?

Como relatar uma medida experimental?

Incertezas

Num experimento há incertezas que não podem ser evitadas. Elas são as incertezas aleatórias.

No experimento do alcance, solta-se a bolinha e observa-se onde ela cai:

Cortesia: Prof. André Bessa

O algarismo duvidoso, nesta régua com escala em centímetros.

O alcance, a distância horizontal a partir do pé da plataforma foi de:

x_A = 26,6 \text{ cm}

Incertezas

A incerteza \(( \sigma_m )\) dos valores obtidos pelo experimentador A, foi maior que aqueles do experimentador B. Mas os conjuntos de medidas A e B têm uma mesma média.

Cortesia: Prof. André Bessa
\sigma_A=0,26\text{ cm}

A

B

Média

\overline{x}_A=26,06\text{ cm}
\overline{x}_B=26,06\text{ cm}
\sigma_B=0,12\text{ cm}
\sigma_A
\sigma_B

Como calcular a incerteza da medida que é o quanto um uma única medida se afasta da média?

=AVERAGE(intervalo)

Incertezas

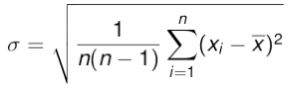
A incerteza da media, isto é sua dispersão em relação ao valor médio é dada pela expressão desvio padrão da média.

Desvio padrão da média

Cortesia: Prof. André Bessa

Aplicando a equação acima para os dois grupos A e B, obtemos:

\sigma_A=0,26\text{ cm}
\sigma_B=0,12\text{ cm}

Relato da medida

x_A=(26,06\pm 0,26)\text{ cm}
x_B=(26,06\pm 0,12)\text{ cm}
25,80 \text{ cm}
26,06 \text{ cm}
26,32 \text{ cm}
A
=\frac{STDEVP(intervalo)}{\sqrt{n}}

Propagação de incertezas

Para o grupo \(A\) o alcance foi de \(x_A = (26,06\pm 0,26)\) cm.

O tempo de queda da altura \(h\), a partir do borda da plataforma é o tempo de viagem na horizontal \(x_A\).

Se esse tempo é \(t_A = (3,04 \pm 0,02)\) s, qual é a velocidade na horizontal?

Tanto o alcance quanto o tempo têm incertezas. Como calcular a velocidade propagando as incertezas?

v_{x} = \frac{\Delta x}{\Delta t}
v_{x} = \frac{(26,06\pm 0,26)\text{ m}}{(3,04 \pm 0,02) \text{s}}

E, agora? Como fazer?

incerteza do comprimento

incerteza do tempo

medida do comprimento

medida do tempo

Propagação de incertezas

Na multiplicação e divisão, as regras são assim:

\left( \frac{u_w}{w} \right)^2 =\left( \frac{u_x}{x} \right)^2 + \left( \frac{u_y}{y} \right)^2

\(u_x,u_y,u_w\) são as incertezas

\(x,y,w\) são as medidas

v_{x} = \frac{(26,06\pm 0,26)\text{ cm}}{(3,04 \pm 0,02) \text{ s}}

Para nosso exemplo, \(w\) é a velocidade, \(x\) é o comprimento e \(y\) é o tempo.

\left( \frac{u_w}{w} \right)^2 =\left( \frac{0,26}{26,06} \right)^2 + \left( \frac{0,20}{3,04} \right)^2
\left( \frac{u_w}{w} \right) =0,0665417
u_w=0,0665417\, w
u_w=0,0665417\, \frac{26,06\text{ cm}}{3,04\text{ s}}=0,57042\text{ cm/s}
v_x=(8,57\pm0,57)\text{cm/s}

Queremos a velocidade, \(w\) e sua incerteza \(u_w\).

w=\frac{x}{y}
w={x}{y}

Propagação de incertezas

Na adição e subtração, as regras são assim:

\(u_x,u_y,u_w\) são as incertezas

\(x,y,w\) são as medidas

Suponha que vamos somar tempos: 

t_s=(2,03\pm0,04)\text{ s}
u_w^2 = u_x^2+u_y^2
w = x\pm y
t_1 = (1,05\pm 0,04) \text{ s}
t_2 = (0,98\pm 0,02) \text{ s}
u_w^2 = (0,04)^2+(0,02)^2
u_w=0,0447214

A soma é,

incerteza da soma ou diferença

Propagação de incertezas

Produto de funções.

w=ax^py^q
\left( \frac{u_w}{w} \right)^2 =\left(p \frac{u_x}{x} \right)^2 + \left(q \frac{u_y}{y} \right)^2
y= \frac{1}{2}at^2

Por exemplo, onde a aceleração \(a\) e o tempo \(t\) têm incertezas.

Propagação de incertezas

Funções trigonométricas.

y=A\cos(kx)

Por exemplo, onde\(x\) tem incertezas.

w=a\text{sen}(x)
u_w = |\frac{dw}{dx}|u_x
u_w = |a\text{cos}(x)|u_x

Propagação de incertezas

Funções logarítimicas.

y=\ln x

Por exemplo, onde \(x\) tem incertezas.

w = \ln_a x
u_w^2=\left( \frac{d w}{d x} \right)^2 \left( {u_x} \right)^2
u_w^2=\left( \frac{1}{\ln a} \right)^2 \left( \frac{u_x}{x} \right)^2

Jogos Olímpicos         50 m        100 m   

Jogos Olímpicos     50 m      100 m   

Tempos (s)

Rapidez média (m/s)

Toda medida está associada a incertezas e devem ser relatadas.

Cálculos secundários devem obedecer a certas regras estatísticas. 

Incertezas em artigos.  Artigos baseados em dados relatam suas incertezas.

Como as incertezas da velocidade foram calculadas?

FM - Tópico 4

By Ronai Lisboa

FM - Tópico 4

Medidas. Média. Desvio padrão. Propagação de incertezas. Planilhas eletrônicas.

  • 205