1.Good News/Seating Chart/Those Who Haven't Tested

2. Warm Up  (99math on chromebook)

3. Desmos Graphing Stories!

4. If time... woot math fractions review! 😻

Learning Objective:

I can model a situation using a graph

Tuesday February 29th

1.Good News

2. Warm Up  (99math on chromebook)

3. Desmos Graphing Stories!

4. If time... woot math fractions review! 😻

End of Class Check In Desmos

Tuesday February 29th

Lil Yachty just got a sponsorship with Tropicana Orange Juice. For each tiktok shoutout Lil Yachty earns $50 plus he recieves $400 a month from the company (and a lifetime supply of oj). Write an equation in slope intercept form to find the total amount Lil Yachty makes for x amount of shoutouts in one month

Warm Up

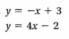
Solve this system without graphing

y= -x + 3

y= 2x + 6

Warm Up

Rewrite this equation in slope intercept form

 

5x -y = -25

Warm Up

Lil Peanut just got a sponsorship with Bang Energy. For every tiktok shoutout Lil Peanut earns $200 plus he recieves $100 a month from the company. Write an equation in slope intercept form to find the total amount Lil Peanut makes in x months

Warm Up

1.Good News

2. Check in Slope Intercept Notes

3. Those who need to MAP Test

3. Warm Up: Slope Intercept Form (Woot Math)

4. Graphing with slope and y-intercept practice

5. Graphing Linear Equations Woot Math

6. Tomorrow: Mini Quiz!- What to Study!

Wednesday January 12th

You Will Need...

Slope Intercept Form Notes

Chromebook

 

Reminder:

Mini Quiz

Tomorrow!

1.Good News

2. Warm Up

3. Slope Intercept Form Quiz

4. Stained Glass Activity

Thursday January 13th

You Will Need...

Slope Intercept Form Notes

Math Journal

Ruler

 

1.Good News

2. Warm Up

3. Slope Intercept Form Quiz (If you have not taken it)

4. Stained Glass Activity (DUE MONDAY!)

Friday January 14th

You Will Need...

Slope Intercept Form Notes

Math Journal

Ruler

Stained Glass Activity Sheet

 

1.Good News

2. Warm Up (on chromebook)

3. Slope Intercept Form Quiz Pass Back

4. Slope Intercept Practice/converting to slope intercept form

Stained Glass Activity DUE

Monday January 17th

You Will Need...

Slope Intercept Form Notes

Stained Glass Activity Sheet

 

1.Good News

2. Warm Up (on chromebook)

3. Slope Intercept Form Quiz Pass Back

4. Slope Intercept Practice/converting to slope intercept form

Stained Glass Activity DUE

Monday January 17th

You Will Need...

Slope Intercept Form Notes

Stained Glass Activity Sheet

 

1.Good News

2. Warm Up

3. Practice- writing equations of a line

4. Notes/Homework- Solutions of Linear Equations

Tuesday January 18th

You Will Need...

Slope Intercept Form Notes

Pencil

 

1.Good News

2. Warm Up (Writing equations of a line)

3. Finish Slope Intercept Story Problems

4. Dominos Story Problem!

Thursday January 20th

You Will Need...

Ruler

Pencil

 

Learning Objective:

I can solve a story problem using a linear equation.

1.Good News

2. Warm Up (Guesstimate)

3. DUE Slope Intercept Story Problems

4. The Domino Effect: Slope Intercept Form Story Problems

Thursday January 20th

You Will Need...

Ruler

Pencil

 

Learning Objective:

I can solve a story problem using a linear equation.

1.Good News

2. Weekly Schedule

3. Woot Math Review

Story Problem Practice

Review Blooket

Monday January 24th

You Will Need...

Ruler

Pencil

chromebook

Monday

Woot Math Review

Tuesday

Test Review

Wednesday

Test Review/ If time Ms. Russel Trivia

Thursday

Test

Friday

Intro System of Equations

1.Good News

2. Test Review (DUE Thursday)

CROSS OUT PROBLEM 12

Last 10 minutes of class- questions

over review :)

Tuesday January 25th

You Will Need...

Ruler

Pencil

 

Monday

Woot Math Review

Tuesday

Test Review

Wednesday

Test Review/ If time Ms. Russel Trivia

Thursday

Test

Friday

Intro System of Equations

1.Good News

2. Test Review (DUE TOMMOROW)

CROSS OUT PROBLEM 12

3. Problems you want to go over

TEST TOMORROW!

Wednesday January 26th

You Will Need...

Ruler

Pencil

 

1.Good News

2. TEST REVIEW DUE!

3. Test! (GOOD LUCK!) :)

When you are done.. work on something SILENTLY

Tomorrow- start system of equations!

Thursday January 27th

You Will Need...

Ruler

Pencil

 

1.Good News

2. Those who need to test/finish testing (make sure you turn in the review!!!)

3. Guesstimation Warm Up

3. Systems of Equations by Graphing Notes/Practice

Thursday January 27th

You Will Need...

Ruler

Pencil

 

1.Good News

2. System of Equations Warm Up (on chromebook)

3. Standard to slope Intercept Form Practice

Tuesday February 1st

You Will Need...

Ruler

Pencil

 

1.Good News

2. Standard to Slope Intercept Form Warm Up (on chromebook)

3. Standard to slope Intercept Form Practice (DUE tomorrow!)

4. Finish Solving Systems by Graphing Worksheet

Wednesday February 2nd

You Will Need...

Ruler

Pencil

Chromebook!

1.Good News

2. Standard to Slope Intercept Form Warm Up (on chromebook)

3. Standard to slope Intercept Form Practice (DUE tomorrow!)

4. Finish Solving Systems by Graphing Worksheet

Wednesday February 2nd

You Will Need...

Ruler

Pencil

Chromebook!

1.Good News

2. Warm Up (in math notebook)

3. Solving Systems by Graphing Practice

STANDARD FORM TO SLOPE INTERCEPT FORM COLORING WORKSHEET DUE

Thursday February 3rd

You Will Need...

Ruler

Pencil

 

1.Good News

2. Warm Up (in math notebook)

3. Solving Systems by Graphing Practice

STANDARD FORM TO SLOPE INTERCEPT FORM COLORING WORKSHEET DUE

Thursday February 3rd

You Will Need...

Ruler

Pencil

 

1.Good News

2. Warm Up (in math notebook)

3.Four Practice Problems for Solving Systems without Graphing Due!

4. Solving Systems without Graphing Amazing Facts Practice

 

Monday February 7th

You Will Need...

math notebook

Pencil

 

Quiz Thursday!

1.Good News

2. Warm Up (in math notebook)

3. Solving Systems without Graphing Amazing Facts Practice

 

Tuesday February 8th

Learning Objective:

I can solve a system of equations

without graphing

 

Quiz Thursday!

1.Good News

2. Warm Up (in math notebook)

3. Solving Systems Quiz

4. Decoding Solving Systems with graphing practice

(DUE TOMORROW)

 

Thursday February 10th

Learning Objective:

I can solve a system of equations

without graphing

 

1.Good News

2. Warm Up (in math notebook)

3. Solving Systems Quiz

4. Decoding Solving Systems with graphing practice

(DUE TOMORROW)

 

Thursday February 10th

Learning Objective:

I can solve a system of equations

without graphing

 

1.Good News

2. Warm Up (in math notebook)

3. Decoding Solving Systems with graphing practice

(DUE TOMORROW)

4. How many solutions notes

 

Monday February 14th

Learning Objective:

I can solve a system of equations

without graphing

 

1.Good News

2. Warm Up (math journal)

3. How many solutions practice (due)

4. System of Equations Story

Problems

 

Wednesday February 16th

Learning Objective:

I can use a system of equations

to solve a story problem

1.Good News

2. System of Equations

Story Problem

Finish/Turn In

 

3. 99math

 

Thursday February 17th

Learning Objective:

I can use a system of equations

to solve a story problem

1.Good News

2. Computer Activity: The Sun DUE

3. Short Film: What we found when we looked for another earth

3. Blooket Review

 

Thursday February 17th

Warm Up

1.Good News

2. Warm Up (in math notebook)

3. Solving Systems without Graphing Amazing Facts Practice DUE

4. Quiz Study Guide/Solving Systems with Graphing Practice

 

Wednesday February 9th

Learning Objective:

I can solve a system of equations

without graphing

 

Quiz Tomorrow!

Warm Up

1. Finish Slope Intercept Form Worksheet

2. Turn it in to first hour

3. Work on something quietly

1. Use your notes to look at an example!

2. Ask another classmate for help! 

3. Ask Ms. Russel for help

Answers will be posted tomorrow- if you finish today or want to check an answer to a problem, see Ms. Russel :)

If you are stuck on a problem...

WARM UP🔥

Identify the slope and y-intercept in the equation below

 

y= 2x - 5

Warm Up

 

 

 

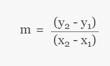
Find the slope of a line with the points (2, 4) and (3, 5)

ACME Design

  • Thoughtful process
  • Dedicated team
  • Pixel-perfect work
  • 24/7 support

Competitors

  • Fragmented workflow
  • Too many clients
  • Rushed deliveries
  • 9-5 support

Meet the Team

CFO

George

CEO

Elaine

COO

Susan

Available 24 / 7

Contact us at +01 555 0194

1.

Discovery of requirements for a project.

2.

Research into the project space, competitors and the market.

3.

Creating a Plan that sets the requirements for the design and build phases.

5.

Review and Iterate on the designs with testing of ideas, client feedback and prototypes.

4.

Design a number of iterations that capture the plans and requirements.

6.

Build the project to an MVP to test and evaluate. Iterate using these learnings.

  • Conceptualization
  • Product Design
  • Development
  • UI/UX Testing
  • Branding

Our Services

The Summit is what drives us, but the climb itself is what matters.

– Conrad Anker

ACME Offices

Country City Contact
USA Los Angeles +1 555 0194
USA New York +1 555 0142
Sweden Stockholm +46 555 0077
UK London +44 555 0211
South Korea Seoul +82 555 0138

Photo by Martin Sattler

ACME Design Inc started a two-person operation in 2011. In their hometown of Los Angeles, California, the founders came together with a vision to design and build beautiful, simple web and mobile products.

In ten years, the team has grown to over one hundred members with offices in four countries. In that time the goal has always remained the same: to design impactful solutions to complex problems.

Our Story

THANK YOU

Contact us via email or Twitter if you have any questions.

Math Agenda 2nd Semester

By Ms. Russel

Math Agenda 2nd Semester

  • 91