Question Answering (QA)
by using
Convolutional Deep Neural Networks
presented by:
Saeid Balaneshinkordan
Severyn, Aliaksei, and Alessandro Moschitti.
"Learning to Rank
Short Text Pairs with
Convolutional Deep Neural Networks"
InProceedings of the 38th International ACM SIGIR Conference on Research and Development in Information Retrieval, pp. 373-382. ACM, 2015.
Based on:




Question Answering
ref: https://web.stanford.edu/class/cs124/lec/qa.pdf
Question Answering (QA) - an NLP task
Question:
ref: https://web.stanford.edu/class/cs124/lec/qa.pdf
What do worms eat?
Potential Answers:
1- Worms eat grass
2- Horses with worms eat grass
3- Birds eat worms
4- Grass is eaten by worms
Question Answering (QA) - an NLP task
syntactic similarity features and external resources can be used in feature-based models:
Too Complex
Alternative solution:
Deep Learning

word embeddings: presentation of words as a dense vector.
deep learning architecture for reranking short text pairs:

ref: http://colah.github.io/posts/2014-07-NLP-RNNs-Representations/


Word Embeddings
word2vec:
Group of (shallow, two-layer neural networks) models used to produce word embeddings.

ref: http://www.slideshare.net/andrewkoo/word2vec-algorithm

Sentence Matrix:

Embeddings Matrix:

sentence (seq. of words):

Deep ConvNet - Architecture
similarity match
Mapping sentences to fixed-size vectors
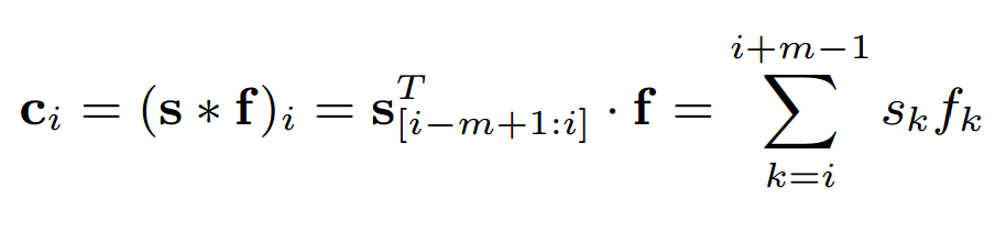
The aim of the convolutional layer is to extract patterns, i.e., discriminative word sequences found within the input sentences that are common throughout the training instances.
Convolution feature maps:

convolution feature maps

i = 0
m = 3

convolution feature maps

i = 1
m = 3

convolution feature maps

i = 2
m = 3

convolution feature maps

i = 3
m = 3
best choice of m = ?

goal: to aggregate the information and reduce the representation
result of the pooling operation:


: activation function (nonlinear)
choices: Sigmoid (logistic), tanh(), max(0, x), ...
goal: to have non-linear decision boundries

: pool operation
choices: avg, max, k-max
Pooling
bias
unit vector

Pair Matching
vec. rep. of query
vec. rep. of doc.
similarity matrix
(optimized during the training)

Pair Representation

Results
Severyn et al. (2015) - no relational information
Severyn et al. (2015) - word counts features
Severyn et al. (2015) - augmented embeddings
Yu et al. (2014) - Deep learning model
Yih et al. (2013) - Distributional word vector
Severyn & Moschitti (2013) - Syntactic feature based models
Yao et al. (2013) - Syntactic feature based models
Wang & Manning (2010) - Syntactic feature based models
Heilman & Smith (2010) - Syntactic feature based models
Wang et al. (2010) - Syntactic feature based models
collection: TREC QA Dataset



Experiments: TREC QA data

Experiments: TREC QA data
Question_Answering_Convolutional_Deep_Neural_Networks
By Saeid Balaneshin Kordan
Question_Answering_Convolutional_Deep_Neural_Networks
Question Answering by using Convolutional Deep Neural Networks (review of Severyn et al. (2015))
- 1,801