Presentations
Templates
Features
Teams
Pricing
Log in
Sign up
Log in
Sign up
Menu
Graph Matrices
What?
A graph matrix is a square matrix with one row and one column for every node in the graph.
The size of the matrix (i.e., the number of rows and columns) is equal to the number of nodes in the flow graph.
WHY?
The pictorial representation can be difficult to analyze as the size grows.
This is how we implement Graphs i.e. using Adjacency Matrix. Adjacency Lists can also be used.
Examples
Simple Graph
Pseudograph
Connection Matrix and Cyclomatic Complexity
How?
Power of Graph Matrix
Question
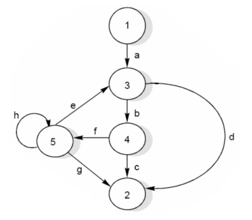
Given the flow graph.
Find the Graph and Connection Matrix
Find out the cyclomatic complexity
Find two/three link paths from a node to any other node
Question
Given the flow graph.
Find the Graph and Connection Matrix
Find out the cyclomatic complexity
Find two/three link paths from a node to any other node
Thank You
Graph Matrices
By Sahil Nishal
Made with Slides.com
Graph Matrices
434
Sahil Nishal
More from
Sahil Nishal