Pi for Programmers

Programmer

Teacher

Nerd

@SamBackus

π

Entertaining

How far can you recite pi?

Happy π Day!

3.14

What are the next 3 digits of pi?

3.14159

Approximating the Value of Pi

Area of the Circle

Area of the Square

Darts in the Circle

Darts in the Square

_____________________________

_____________________________

Area of the Square

Darts in the Circle

Darts in the Square

_____________________________

_____________________________

πr

2

Darts in the Circle

Darts in the Square

_____________________________

_____________________________

πr

2

(2r)

2

Darts in the Circle

Darts in the Square

_____________

_____________________________

π

4

(x,y).

(r,r).

(x,y).

(r,r).

(x,y).

x-r

y-r

_______

___________

(r,r).

(x,y).

x-r

y-r

_______

___________

_____________

Pythagoras!

(r,r).

(x,y).

x-r

y-r

_______

___________

_____________

A  + B  = C

2

2

2

(r,r).

(x,y).

x-r

y-r

_______

___________

_____________

(x-r)  +(y-r)  =C

2

2

2

(r,r).

(x,y).

x-r

y-r

_______

___________

_____________

(x-r)  +(y-r)  <=r

2

2

2

Darts in the Circle

Darts in the Square

_____________

_____________________________

π

4

=

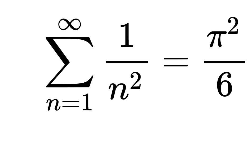
The Basel Problem

=  ?

Euler

the sum of the reciprocals of the positive square integers is equal to pi squared divided by 6

Chudnovsky Brothers

Chudnovsky

Chudnovsky

_____

_____

___________

________

__

Pi for Programmers

Programmer

Teacher

Nerd

@SamBackus

π

Pi Day

By Sam Backus

Pi Day

  • 289