(some) Methods
in Embodied Cognitive Science
27 October 2022
Introduction to Embodied Cognitive Science
There is nothing so theoretical as a good method — Greenwald 2012
There is nothing so practical as a good theory — Lewin 1951
Driving questions | types of methods
The body and its dynamics
Interaction and its dynamics
The environment




are constitutive of cognition
are constitutive of cognition
is constitutive of cognition

Break or change (and measure) a small part

Simulate operations
Isolate minimal operation
Interpret parts, wholes, and relations






Break or change (and measure) a small part



Kirsh, D. (2011). How marking in dance constitutes thinking with the body.
Behavioural measures
Regular cognitive science targeting the body

Break or change (and measure) a small part


Rochat, P., Neisser, U., & Marian, V. (1998). Are young infants sensitive to interpersonal contingency?
Murray, L., & Trevarthen, C. (1985). Emotional regulations of interactions between two-month-olds and their mothers.
Behavioural measures
Regular cognitive science targeting the body

Ablation or modification of interactions



Break or change (and measure) a small part

Behavioural measures
Regular cognitive science targeting the body

Ablation or modification of interactions



Sensory substitution



O’Regan, J. K., & Noë, A. (2001). A sensorimotor account of vision and visual consciousness.
Froese, T., & Ortiz-Garin, G. U. (2020). Where Is the Action in Perception? An Exploratory Study With a Haptic Sensory Substitution Device.
Break or change (and measure) a small part

Behavioural measures
Regular cognitive science targeting the body

Ablation or modification of interactions



Sensory substitution

Instrumentation-based measures
2-person neuroscience




Babiloni, F., & Astolfi, L. (2014). Social neuroscience and hyperscanning techniques: Past, present and future.
Break or change (and measure) a small part

Behavioural measures
Regular cognitive science targeting the body

Ablation or modification of interactions



Sensory substitution

Instrumentation-based measures
2-person neuroscience



Break or change (and measure) a small part

Synchronised signals
Differing frequency signals
Synchronized and desynchronized signals
Yiyuan, Y et al. (2021). Wireless multilateral devices for optogenetic studies of individual and social behaviors.
2017

Simulate operations

A case may be made for mathematization of scientific domains as a course toward resolving theoretical disputes, clarifying conceptual confusions, and making potential decisions concerning the greater validity of one verbalized scientific description over another. — Dale and Spivey 2005

Theory or controversy as targets
Simulate autopoiesis





Beer, R. D. (2014). The Cognitive Domain of a Glider in the Game of Life.
Simulate operations

Theory or controversy as targets
Dynamical Systems Theory vs. Information Theory
Simulate autopoiesis








Beer, R. D., & Williams, P. L. (2015). Information Processing and Dynamics in Minimally Cognitive Agents.
Simulate operations

Theory or controversy as targets
Dynamical Systems Theory vs. Information Theory
Simulate autopoiesis




System design
Minimal organisms





Braitenberg, V. (1986). Vehicles: Experiments in synthetic psychology.
Simulate operations

Theory or controversy as targets
Dynamical Systems Theory vs. Information Theory
Simulate autopoiesis




System design
Minimal organisms
Neuro-biomechanical interactions vs. neural control




Beer, R. D. (2009). Beyond Control: The Dynamics of Brain-Body-Environment Interaction in Motor Systems.
Simulate operations

Theory or controversy as targets
Dynamical Systems Theory vs. Information Theory
Simulate autopoiesis




System design
Minimal organisms
Neuro-biomechanical interactions vs. neural control
Robotics
Scruffy body-based robotics
Dynamic AI, body computation






Brooks, R. A. (1990). Elephants don’t play chess.


Nakajima, K., Hauser, H., Li, T., & Pfeifer, R. (2018). Exploiting the Dynamics of Soft Materials for Machine Learning.
Dotov, D., & Froese, T. (2020). Dynamic Interactive Artificial Intelligence: Sketches for a Future AI Based on Human-Machine Interaction.
Simulate operations
Isolate minimal operation

Minimal sensorimotor interaction



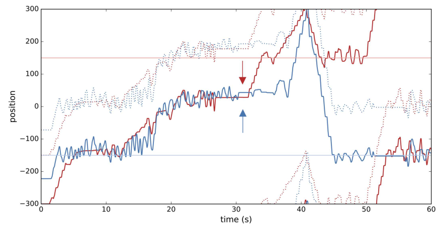
Minimal sensorimotor interaction



Human Dynamic Clamp and the Haken-Kelso-Bunz model
Dumas, G., Guzman, G. C. de, Tognoli, E., & Kelso, J. A. S. (2014). The human dynamic clamp as a paradigm for social interaction.
Kelso, J. A. S. (2008). Haken-Kelso-Bunz model.

Isolate minimal operation

Minimal sensorimotor interaction



Human Dynamic Clamp and the Haken-Kelso-Bunz model
Perceptual Crossing Paradigm
Zapata-Fonseca, L., Dotov, D., Fossion, R., & Froese, T. (2016). Time-Series Analysis of Embodied Interaction: Movement Variability and Complexity Matching As Dyadic Properties.
Kojima, H., Froese, T., Oka, M., Iizuka, H., & Ikegami, T. (2017). A Sensorimotor Signature of the Transition to Conscious Social Perception: Co-regulation of Active and Passive Touch.


Isolate minimal operation

Interpret parts, wholes, and relations


Conversation Analysis



Dingemanse, M., & Floyd, S. (2014). Conversation across cultures.
Informal talk can be studied across different human societies: it can be inspected for how it helps construct distinct linguistic and cultural worlds and for how it may itself be subject to linguistic and cultural inflection. Any stretch of conversation shows that participants rely on a combination of interactional, linguistic, and cultural competencies to bring off even seemingly simple sequences
Interpret parts, wholes, and relations

Conversation Analysis



Anthropology & Ethnography



... ethnographers typically make this a major epistemological point ... They are seeing the “real world” of everyday life, not some version of it created at their urging and for their benefit, and this version, they think, deserves to be treated as having greater truth value than the potentially less accurate versions produced by other methods.
If you do a survey, you know in advance all the information you can acquire. There may be some surprises in the connections between the items you measure, but there will not be any surprise data, things you didn’t ask about but were told anyway. ... In contrast, fieldworkers cannot insulate themselves from data.
Becker, H. S. (1996). The epistemology of qualitative research.

Interpret parts, wholes, and relations

Conversation Analysis



Anthropology & Ethnography



Interpret parts, wholes, and relations

(Neuro-)phenomenology

Froese, T., & Fuchs, T. (2012). The extended body: A case study in the neurophenomenology of social interaction.

Methods in Embodied Cognitive Science
By Sébastien Lerique
Methods in Embodied Cognitive Science
- 214