Game Theory,
Rationality,
with Embodied glasses.
Sébastien Lerique
OIST — Embodied Cognitive Science Unit




CBS, YouTube
2019
2009
France 24, YouTube
France 24, YouTube




CBS, YouTube
2019
2009
France 24, YouTube
France 24, YouTube

1897
Cognitive Science
Economics
Social Science


Cognitive Science
Economics
Social Science
Game Theory
Rationality
Embodied
Basic Game Theory
Introduction to Perceptual Crossing
Approximations needed
Game Theoretical Perceptual Crossing
Why the effort?
Problem versus Mystery
1
2
3
4
5
6
Basic Game Theory
Discrete strategies
Discrete time
Individual-group border
Static strategies

Payoff matrix
| A \ B | B confesses | B stays silent |
| A confesses | 2; 2 | 4; 1 |
| A stays silent | 1; 4 | 3; 3 |
Perceptual Crossing: live human interaction

Froese, Iizuka, & Ikegami (2014), Embodied social interaction constitutes social cognition in pairs of humans. Scientific Reports
Auvray, Lenay, & Stewart (2009). Perceptual interactions in a minimalist virtual environment. New Ideas in Psychology

Static object
Avatar
Shadow
Perceptual Crossing: live human interaction

Froese, Iizuka, & Ikegami (2014), Embodied social interaction constitutes social cognition in pairs of humans. Scientific Reports
Auvray, Lenay, & Stewart (2009). Perceptual interactions in a minimalist virtual environment. New Ideas in Psychology
Time
Position in space

Perceptual Crossing: success is a 2-body problem

Time
Position in space

Turn-taking
Perceptual awareness
Kojima, Froese, Oka, Iizuka, & Ikegami (2017). A Sensorimotor Signature of the Transition to Conscious Social Perception. Frontiers in Psychology






Time
Position in space
Approximating Perceptual Crossing to a usable Game
Interaction with static
Interaction with shadow
Interaction with partner
Resources
- 1 minute exploration time
- single click
Parallel decisions
- engage or not
- click or not
Errors
- Type I: mistake an object for the partner
- Type II: mistake partner for an object
Bob
Alice
Building the model
1. Modelling an encounter



Alice comes across Bob
| Bob \ Alice | Interact less | Interact more |
| Interact less | ρLL | ρML |
| Interact more | ρLM | ρMM |
(1-α) ρLL + α ρLM
(1-α) ρML + α ρMM
1/3
1/3
1/3

Lerique (2022). Embodied rationality through game theoretic glasses: an empirical point of contact. Frontiers in Psychology

Alice comes across her static object
Alice comes across Bob's shadow
Alice - Static object
Alice - Bob's shadow
Alice - Bob
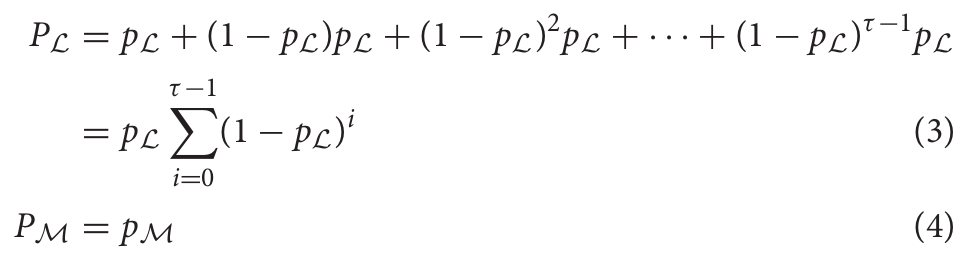
Interaction is τ times longer than non-interaction
Final probabilities at constant time cost:
Building the model
2. Individual view




Lerique (2022). Embodied rationality through game theoretic glasses: an empirical point of contact. Frontiers in Psychology

Alice - Static object
Alice -
Bob's shadow
Alice - Bob

u = 0.04
0.1
τ = 3
Bob interacts more
Bob interacts less
Building the model
3. Collective view



Lerique (2022). Embodied rationality through game theoretic glasses: an empirical point of contact. Frontiers in Psychology

Alice - Static object
Alice -
Bob's shadow
Alice - Bob



Alice interacts more
Alice interacts less
Bob interacts less
Bob interacts more
Building the model
3. Collective view



Lerique (2022). Embodied rationality through game theoretic glasses: an empirical point of contact. Frontiers in Psychology
Alice - Static object
Alice -
Bob's shadow
Alice - Bob

Alice interacts more
Alice interacts less
Bob interacts less
Bob interacts more
1
2
4
3
Building the model
3. Collective view



Lerique (2022). Embodied rationality through game theoretic glasses: an empirical point of contact. Frontiers in Psychology
Alice - Static object
Alice -
Bob's shadow
Alice - Bob
1; 3
2; 2
4; 4
3; 1
Assurance Game
Alice interacts more
Alice interacts less
Bob interacts less
Bob interacts more
Enactivism
Game Theory
Team Rationality
2018





Conditional Game Theory
2012, 2016
2018
2007


France 24, YouTube

Gabriel Marcel, Mystery
John Dewey, Situation
Aristotle, Phronesis (practical wisdom)
Noam Chomsky, Mysteries
Hans-Georg Gadamer, Hermeneutical Situation
Problem vs. Mystery
Back to Suicide

Thanks
@wehlutyk
Game Theory, Rationality, with Embodied glasses
By Sébastien Lerique
Game Theory, Rationality, with Embodied glasses
- 773