Banyan: Coordination-free Distributed Transactions over Mergeable Types
MS Seminar by
Shashank Shekhar Dubey
Guide: Dr. KC Sivaramakrishnan
RISE Lab
Dept. of Computer Science & Engineering
IIT Madras


-
Course work details
-
Banyan
-
Motivation
-
Design and implementation
-
Performance
-
Irmin Data Model
-
Garbage Collection
-
Recursive Merges
-
Operational Semantics
-
-
Future Work
-
Work Timeline
Index
Course work details:
| S.No. | Course No. | Course Title | Core/Elective | Credits | Grade |
|---|---|---|---|---|---|
| 1 | CS5800 | Advanced Data Structures and Algorithms | Core | 12 | B |
| 2 | CS6440 | Distributed Computing | Core | 12 | B |
| 3 | CS6847 | Cloud Computing | Core | 12 | A |
| 4 | ID6020 | Introduction to Research (Institute model) | Core | 0 | P |
| 5 | CS6021 | Introduction to Research | Core | 0 | P |
| 6 | CS6570 | Secure System Engineering | Elective | 12 | C |
| 7 | CS6530 | Applied Cryptography | Elective | 12 | C |
Banyan: Coordination-free Distributed Transactions over Mergeable Types
Coordination-free Distributed Transaction over Mergeable Types




Coordination-free Distributed Transaction over Mergeable Types


|
|
||
|---|---|---|
|
Balance between availability and coordination |
Eventually Consistent Database |
|
| Resolving conflicts to converge | Data types with support for conflict resolution |
Coordination-free Distributed Transaction over Mergeable Types
Context based convergence

Mergeable Replicated Data Types
Kaki, Gowtham, et al. "Mergeable replicated data types." Proceedings of the ACM on Programming Languages 3.OOPSLA (2019): 1-29.
Replica1
Replica2
0
0
1
2
12
3
7
4
6
clone
+1
+2
+2
+4
Counter.merge 0 2 1
Counter.merge 1 6 7
+3
Coordination-free Distributed Transaction over Mergeable Types

Eventual Consistency

Key 1
Key 2
Value 1
Value 2
Coordination-free Distributed Transaction over Mergeable Types

Eventual Consistency

Key 12
Value 1
Value 2
Banyan
- Programming model
- Requirement: Eventually Consistent DBs
- Our implementation: OCaml, Cassandra

Programming Model
Programming Model













Public Branch
Private Branch

-
Isolated transactions at each private branch
-
Remote Refresh
-
Publish
-
Refresh

-
Loss of connection does not affect local R/W operations
-
Always available
Realizing the Programming Model
Banyan



Eventually Consistent Distributed Database
Implementation details...
Realizing the Programming Model
Banyan
So, How does it work
?
D1
building library
Artifact
D2
building library
Artifact
opam install git
opam install git
D1
building library
Artifact
banyan build system
read
N/A

| Key | Value |
|---|---|
write
private branch of D1
opam install git
D1
opam install git
building library
Artifact
banyan build system
read
N/A

| Key | Value |
|---|---|
| /git/1.0/git.cmx | 0xAB12... |
write
private branch of D1
publish
| Key | Value |
|---|---|
D1_private
| Key | Value |
|---|---|
public
| Key | Value |
|---|---|
D2_private
| Key | Value |
|---|---|
| /git/1.0/git.cmx | 0xAB12... |
write
| Key | Value |
|---|---|
| /git/1.0/git.cmx | 0xAB12... |
publish
| Key | Value |
|---|---|
| /git/1.0/git.cmx | 0xAB12... |
refresh
remote refresh
connect
D2
Artifact
banyan build system
read
Artifacts

| Key | Value |
|---|---|
| /git/1.0/git.cmx | 0xAB12... |
opam install git
| Library requested | Dependent libraries |
|---|---|
| Git | OCaml |
| dune | |
| uri | |
| lwt |
| Library requested | Dependent libraries |
|---|---|
| Irmin | OCaml |
| dune | |
| uri | |
| jsonm |


2. Few dependencies are found in cache
1. Library found in cache
*Cassandra cluster with four replicas within the same data center; inter-node latency ~ 0.5ms
Irmin Data Model
Irmin Data Model
Session S0
Session S1
c0
c1
/
foo
v0
Tag Store
Block Store
S0 : Write foo v0
S1 : Write foo v0
(Read/Write Store)
(Append-Only Store)
Session S0
c0
/
foo
v0
Tag Store
Block Store
Blob node
Tree node
Commit node
Garbage Collection
Cassandra : 4.9 MB
Banyan : 1.8 GB
376 x
Space usage: Cassandra vs Banyan
GIT:
Unreachable objects
GC Candidates
Banyan:
Commit nodes not required for LCA computation

GC Candidates

- s0-c0
- p0-c0
- s1-c0
Recursive Merges
Concurrent Criss-Cross merges
1
2
3
4
+3
+1
Recursive Merges

Operational Semantics

Commands
Local branch
Public branch
Blockstore
Tagstore
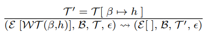
Operational Semantics


Operational Semantics

Future Work
-
Complete type setting the operational semantics
-
Implementing the garbage collection
-
Conference Paper Acceptance: Aug, 2020
-
Extension of conference work for journal: Aug, 2020 - Apr, 2021
-
GTC Meeting and seminar: April, 2021
-
Finishing task for Journal Submission: May, 2021
-
Synopsis: May, 2021
-
Thesis: June, 2021
Work Timeline
Thank you
Banyan
By Shashank shekhar Dubey
Banyan
- 181