机器学习入门

by Shawn 2017/4/25

Agenda

有监督学习

有监督学习

分类

回归

线性回归 - 最小二乘法

回归

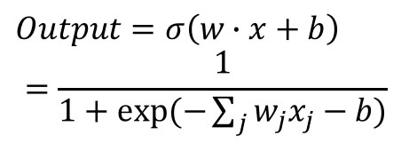
非线性回归 - Sigmoid函数/Logistic回归

回归

KNN (k近邻)

分类

k = 3, 绿色属于红色

k=5,绿色属于蓝色

Naive Bayesian 

分类

P(A|B)={\frac {P(B|A)\,P(A)}{P(B)}}
P(AB)=P(BA)P(A)P(B)P(A|B)={\frac {P(B|A)\,P(A)}{P(B)}}

无监督学习

聚类 - Kmeans(K均值)

聚类

分类?综合算法/系统

分类?综合算法/系统

  1. 发展历史 
    1. 1943年提出原型
    2. 遭遇“异或”问题,震荡
    3. 计算局限性,svm的挑战
  2. 局限性
    1. 异或问题,已解决
    2. 计算能力问题,已解决
  3. 现状

SVM

分类

总结

数学>统计学>数据挖掘>?

机器学习无外乎就是找到从输入到输入的

最佳拟合函数

太阳底下无新鲜事,螺旋向上的历史

References

1. Wikipedia

2. Zhihu

3. Google Tensorflow Playground

4. 《A first Course in Machine Learning》 by Simon Rogers

5. 《Machine Learning》by 周志华

6. Gitbook - PRML

机器学习浅析

By Shawn Shao

机器学习浅析

  • 410