Lecture 21

 

Stanley Bak

Report Draft,
Due Nov 26 (end of day, 11:59pm)

Use IEEE Template (2 column) and default font size: https://www.ieee.org/conferences/publishing/templates.html

 

 

Similar to a conference paper. Include (1) Introduction, (2) related work (short version of what you turned in), (3) background, (4) what you did / tried to do different than what other people have done, (5) evaluation, and (6) conclusion.

 

Paper Writing Tips:
https://cs.stanford.edu/people/widom/paper-writing.html

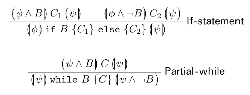
Hoare Logic Rules

Homework Corrections

As before, you can provide corrections and get up to 50% credit back.

 

Due in one week (11/14) at start of class.

 

Turn in printed paper, as well as the old (incorrect) homework). For each problem you do, indicate what the old grade was.

Lecture 21

By Stanley Bak

Lecture 21

  • 90