Analyse verschiedener Verfahren zur Klassifikation von Bildern
Masterthesis (c) by Sven Maack (inf101913)


Inhalt
- Grundidee / Theorie
- Daten
- Analytische Verfahren
- Neuronale Netze
- (Optimierungen)

Grundidee
- Erfahrung aus der Alike App
- Ziel ist die Kategorisierung von Bildern
- Vergleich verschiedener Ansätze mit dem Hype der Neuronalen Netze
- Nachvollziehbarkeit / Interpretierbarkeit


Theorie
- Merkmalsextraktion
- Aufteilung in Trainings- / Validierungs- / Testmenge

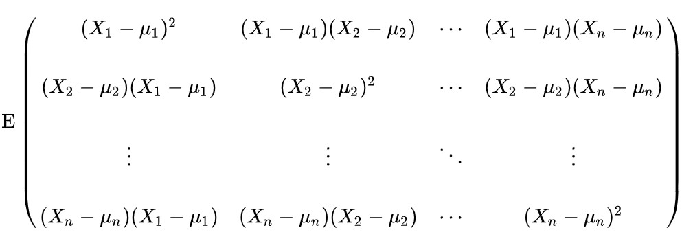
- Representer Theorem
Daten

Visualisierung
- PCA (Haupkomponentenanalyse)

Visualisierung (t-SNE)
- Verschiebung gemäß Ähnlichkeit
- Gaußverteilung

Visualisierung (t-SNE)

Triviale Methoden
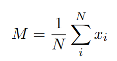
- Mittelwertberechnung (17%-23%)
- kNN (85%-98%)

Regressionen
y = m' x + b

- Erkennunsgrate von 84%-93%
- Problem in Komplexität des Featurevektors

Ridge-Regressionen

Erkennungsrate: 62% - 76%

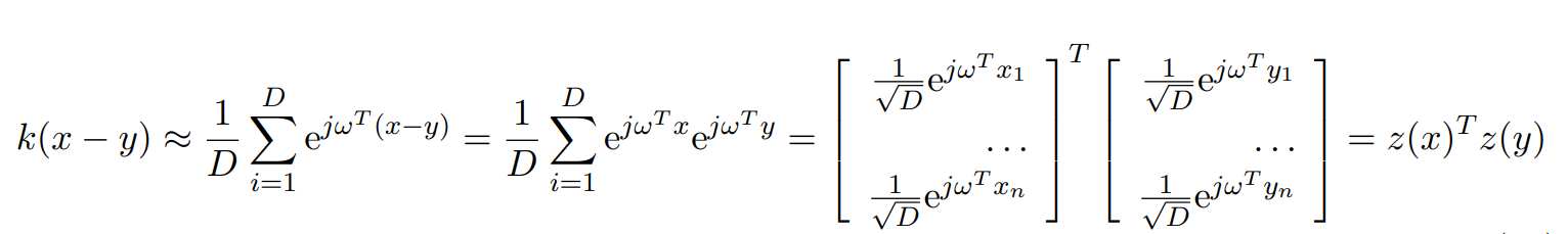
Kernel-Regressionen


Kernel-Regressionen
- Mercer Theorem
- Erkennungsrate: 83%-88%

Kernel-Probleme

Support Vektor Maschine


Zwischenresultat

Neuronale Netze
Cells that fire together wire together

Approximations Theorem

Convolutional Neural Network

Convolutional Neural Network

Resultat

Gut aber...

Optimierungen

Erkennung der RR von 62.5% auf 79,6% gestiegen

Noch Fragen?

KI
By Sven Maack
KI
- 198