Cálculo

Diferencial

Precálculo

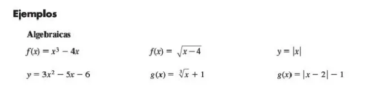
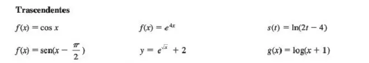
 Definición de Función.

 


Una función del conjunto A (llamado Dominio) al conjunto B (llamado Contradominio o
Rango)
es una relación entre los elementos del conjunto A y el conjunto B, tal que a cada
elemento de A le corresponde un único elemento de B. La función es una regla que produce una
correspondencia entre dos conjuntos de elementos, tales que a cada elemento del primer
conjunto le corresponde uno y solo un elemento del segundo conjunto.

x(kilo(s)) y(precio)
1
2
3
4
5
(kilo(s)) y(precio)
$14
$20
$40
$50
$100

entrada

salida

una entrada tiene más de una salida = relación

x

y

una entrada solo tiene una salida = función

entrada

salida

x

x

y

Función

x

_

0

0

_

X

Intervalos

() [] < > \geq \leq \in \notin \cup \cap

{}

x= \frac{-b}{2a}
f(t)=18t-4.9 t^{2}

Cálculo Diferencial

By Tuxtla Nauta

Cálculo Diferencial

  • 148